在瘤胃中的短鏈脂肪酸(SCFAs)對反芻動物的生長和健康起著關鍵的作用,微生物G蛋白偶聯受體(GPR)和微生物脫乙酰化酶(HDAC)可能是這些影響的主要調節通路。該研究主要是選用不同比例非纖維碳水化合物攝入(15-30%)的山羊模型,通過轉錄組測序和16srRNA測序聯合研究瘤胃上皮細胞和瘤胃微生物協同的響應機制。通過研究發現,瘤胃中微生物來源的SCFAs對上皮細胞的生長和代謝受到GPR和HDAC調節網絡的影響,通過對這些調控機制和飲食組成的相互關系的理解,可更深入的了解瘤胃的新陳代謝機制,更好的促進牧業的發展。
樣品取材:共6只雄性山羊,隨機分為兩組,第一組飼養為65%的干草+35%的飼料(MC組),另一組為90%的干草+10%的飼料(LC組);喂養28d后進行取樣。
微生物多樣性樣品:飼養第28天,在清晨喂養0h、2h、5h以及8h進行取樣,瘤胃內容物用4層紗布取樣 ,收集瘤胃液15ml,-20℃保存用于提取。
轉錄調控測序取樣:取10cm2瘤胃組織,用冷卻的PBS進行清洗,去除肌肉層,取上皮組織切塊于TRIzol保存液保存。液氮速凍5min后,-80保存用于RNA提取。
短鏈脂肪酸(SCFAs)濃度測定:上述樣品加入5%HgCl2用于濃度測定。
測序分析:
瘤胃內容物微生物多樣性測序:細菌V3+V4區、Illumina Miseq 平臺測序
瘤胃上皮細胞轉錄組測序測序: PE125 測序、Illumina Hiseq2500 平臺測序
1、短鏈脂肪酸(SCFA)濃度變化分析:
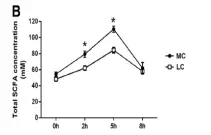
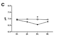
飼養不同處理組(MC和LC)、喂養取樣不同時間點間瘤胃內總短鏈脂肪酸(SCFA)、PH以及短鏈脂肪酸(SCFA)主要成分的變化情況進行分析,如下圖。

?圖1.1?總SCFA變化情況

圖1.2?PH變化情況

圖1.3?SCFA主成分變化情況
2、瘤胃微生物多樣性分析:
2.1細菌群落結構分析
在細菌門水平,一共有14個原核的門被鑒定,主要是厚壁菌門(35.7-30.1%),擬桿菌門(26.6-43.6%)、互養菌門(11-7%),且通過門水平維恩圖分析發現,在兩組(MC和LC)間門水平組成相同,比較分析兩組間微生物變化情況發現(如圖:FIG2),MC組相比于LC組,互養菌門增長了57%,無壁菌門增長了330%。而黏膠球形菌門降低了63%,纖維桿菌門降低了65%;

圖2.1?兩組間門水平Venn圖分析

圖2.2 兩組間門水平OTU分析
在細菌屬水平。共鑒定出75個屬水平細菌,在兩組間共有70個屬,在MC組有三個特有的屬,在LC水平有2個特有的屬,普氏菌屬(10.4-17.9%)在兩組間都為主要屬水平的菌。

圖3.1 兩組間屬水平Venn圖分析

圖3.2?兩組間屬水平OTU分析
2.2 微生物群落的多樣性和豐富性
在門水平,MC組的擬桿菌門和厚壁菌門顯著性高于Lc組(P<0.05),互養菌門顯著性低于Lc組(如下圖4),通過最大似然法(ML)計算27個豐度大于1% 的OTU進行分析顯示,在MC組顯著增加的OTU屬于子單胞菌科,疣微菌科、韋榮球菌科、疣微菌門,相反的,58%(7/12)顯著降低的OTU屬于普雷沃氏菌科(如下圖5);

?圖4

圖5
3.瘤胃表達譜分析:
3.1 瘤胃上皮細胞GPRs和HDACs的表達譜分析
RNA-Seq測序方法用于研究山羊瘤胃微生物G蛋白偶聯受體(GPRs)和微生物脫乙酰化酶(HDACs)表達情況以及調控網絡,過濾得到127M clean data,平均有83%數據比對到NCBI山羊參考基因組,得到73個GPR家族成員和11個HDAC家族成員比對到山羊基因組,轉錄組數據分析發現有20個GPR家族成員和7個HDAC家族成員在瘤胃上皮細胞中表達。通過比較LC組中基因的表達發現GPR1,87,89A,155顯著上調(P<0.05),在MC組中GPR107,游離脂肪酸受體4(FFAR4, also known as GPR120),羥基烴酸受體2(HCAR2, also known as GPR109A)顯著上調(P<0.05),通過組內基因表達分析,在兩組內都發現GPR家族中GPR87表達*高,HDAC家族中HDCA1的表達*高
3.2 GPRs和HDACs保守序列分析
為了研究GPR和HDAC在進化過程中差異表達的保守序列,通過用所有基因進行ML進化樹分析,所有的 GPRS和HDACS在脊椎動物門都是高度保守的。研究GPR家族內成員的保守序列發現,在GPR家族成員沒有超過30%的相似性,在HDAC家族成員之間也發現了同樣的結果。

圖6
3.3 差異表達的GPRS和HDACs基因相關KEGG通路分析
為了研究GPR和HDAC共表達網絡的生物學意義,改研究注釋了相關的信號通路和KEGG功能,發現顯著差異的鄰近基因被分類到瘤胃上皮細胞的生理調節過程,因此發現了兩類和上皮細胞生長調節有關系的功能網絡,其中一類是上皮細胞生長網絡(包括細胞凋亡,增殖和分化,見下圖7),另外一類是上皮細胞的代謝網絡(包括輔酶因子和維生素代謝,能量代謝、氨基酸代謝等,見下圖8);

圖7:上皮細胞生長網絡圖

圖8:上皮細胞代謝網絡圖
在上皮細胞生長網絡中,基因GPR1,89和155的表達上調導致LAMTOR3蛋白,蛋白激酶和ELK1表達上調,這三種蛋白都存在于MAPK信號通路上,和細胞的增殖分化有關。此外,GPR1的 表達增加和酸性酰胺酶(ASAH1)的下調相關,ASAH1存在于調節細胞凋亡、生存和增殖的信號通路上。對于HDACs家族基因HDAC4,5,6和10基因的上調和五個調節細胞凋亡,生存和增殖基因的下調有關。
在上皮細胞代謝網絡中,GPR1、87和89A基因的上調表達與輔酶2、4以及4L(ND2,4,4L),ATP5H,NDUFA4有關,HDAC1的下調表達ND6的上調表達有關。以上所有相關的酶都和能量代謝的氧化磷酸化有關。
4.轉錄調控和16s rRNA數據聯合分析?
GPR和HDAC的表達、SCFAS主成分濃度比例以及屬水平細菌相對豐度關系分析
通過CCA相關性分析發現,顯著上調的GPRs和HDACs與8個顯著增加的微生物屬(56個 OTUS)是呈正相關,顯著下調的GPRs和HDACs和9個顯著減少的細菌屬呈正相關(63個OTU),然而HDAC1與丁酸鹽的比例呈負相關。

該研究得到的結果揭示,SCFA調節的GPR和HDAC共調控網絡存在于瘤胃的上皮細胞,該共調節網絡作用可作用于動物敏感√確地接受微生物區的信號調節,這些調控網絡調節上皮細胞各種生理學過程,尤其是細胞的生長和新陳代謝,在促進動物的生長和維持上皮細胞的完整性起到關鍵的作用。此外,這些調控網絡重要的調控機制對于共生的細菌來說,主要通過調節上皮細胞生理過程提高細菌在宿主中的共生條件。通過了解宿主動物和微生物區之間互相的調節機制,加上相應飲食中的外界干預調節因素,可以可持續性的更好的提高動物的健康和生長。
Hong Shen, Zhongyan Lu, Zhihui Xu, Zhan Chen,nd Zanming Shen Associations among dietary non-fiber carbohydrate, ruminal microbiota and epithelium G-protein-coupled receptor, and histone deacetylase regulations in goats.Microbiome.2017;5:123

京公網安備 11011302003368號