自2018年5月高質量亞洲棉基因組文章見刊起,百邁客Hi-C項目成功案例相繼見刊勢如破竹。短短2年間,成功案例已突破40余篇,更是有超過5篇合作案例刊登于雜志Nature Genetics,其中不乏二倍體、同源多倍體、異源多倍體等復雜且高質量基因組的獲得,高階文章的連續發表印證了百邁客Hi-C技術在科研領域中的優勢。
Tips:
Hi-C是染色質區域捕獲(Chromosome conformation capture)與高通量測序(High-throughput sequencing)相結合而產生的一種新技術。通過甲醛處理將DNA與蛋白質交聯在一起從而固定DNA的構象,并進行酶切、生物素引入、酶連和提取,然后對處理好的核酸進行文庫構建和高通量測序,最終通過對測序數據進行分析即可揭示染色體片段間的交互信息。該技術僅利用單個個體就可以將基因組序列定位到染色體,從而進行染色體水平的研究。
至于百邁客Hi-C的研究效果究竟如何?快速速隨小編一同概覽系列高階文章吧~
PART ONE

影響因子:27.603
中科院分區:
大類:生物 1區[Top]
小類:遺傳學 1區
————————————————————————————————
ONE
2020年4月13日,武漢大學朱玉賢院士團隊關于草棉、亞洲棉和陸地棉基因組研究成果發表在國際期刊Nature genetics。該研究利用了北京百邁客生物技術有限公司的Hi-C技術分別將草棉和亞洲棉的95.69%及92.18%序列掛載至13條染色體上,完成了高質量棉花基因組圖譜[1]。

Hi-C輔助草棉、亞洲棉基因組染色體掛載
TWO
2019年9月30日,福建農林大學基因組研究中心明瑞光教授團隊聯合多個單位共同合作的紅苞鳳梨研究成果在國際知名期刊Nature Genetics在線發表。該研究獲得了513 Mb基因組序列,并通過百邁客Hi-C實驗技術助力,最終將456 Mb基因組定位到25條染色體上(掛載率約88.8%),完成了菠蘿基因組學領域的再一次突破[2]。

紅苞鳳梨基因組Circos圖
THREE
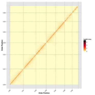
2018年12月4日,華中農業大學作物遺傳改良國家重點實驗室張獻龍教授課題組首次完成了高質量異源四倍體陸地棉(Gossypium hirsutum)和海島棉(Gossypium barbadense)基因組組裝,相關研究成果刊登于國際知名期刊Nature Genetics。文中利用北京百邁客生物科技有限公司的三代PacBio測序技術、Hi-C染色體掛載技術(海島棉及陸地棉染色體掛載率分別高達97.68%和98.94%)獲得了高質量栽培種異源四倍體棉基因組[3]。

陸地棉和海島棉基因組Hi-C熱圖
(Wang?M?et?al.,Nature?Genetics.2018)
FOUR
2018年10月8日,福建農林大學基因組研究中心明瑞光課題組首次完成了同源多倍體甘蔗基因組密碼破譯,該研究成果刊登于Nature Genetics。文中利用二代BAC文庫測序,三代PacBio測序及北京百邁客生物科技有限公司的Hi-C建庫測序技術,并結合明瑞光課題組獨立研發的ALLHiC算法成功地將甘蔗基因組組裝到染色體水平,高質量甘蔗基因組的獲得印證了百邁客Hi-C研究在科研領域中的優勢[4]。

同源多倍體甘蔗基因組Hi-C熱圖
FIVE
2018年5月8日,中國農業科學院棉花研究所所長李付廣研究員、武漢大學朱玉賢院士、中國農業科學院棉花研究所杜雄明研究員、中國農業科學院農業基因組研究所所長黃三文研究員、林濤博士與北京百邁客生物科技有限公司關于亞洲棉的合作成果發表在Nature Genetics上。利用三代PacBio測序+Hi-C技術完成了亞洲棉基因組的重新組裝,將基因組Contig N50從72 kb提升到1.1 Mb,并將91.98%的序列掛載至染色體水平上,為亞洲棉后續的群體遺傳學等相關研究奠定了基礎[5]。

兩版亞洲棉基因組Hi-C熱圖比對(左舊;右新)
PART TWO
影響因子:15.84
中科院分區:
大類:工程技術 1區[Top]
小類:材料科學:綜合 1區|納米科技 1區|化學綜合 1區
——————————————————————————————————
殷冬梅教授團隊在Wiley知名期刊Advanced Science上發表題為“Comparison of Arachis monticola?with diploid and cultivated tetraploid genomes reveals asymmetric subgenome evolution and improvement of peanut”的研究進展,首次揭示了異源四倍體野生種Arachis monticola在花生從野生二倍體到栽培四倍體的重要馴化地位;證實了異源四倍體花生中A和B亞基因組的單系起源以及在馴化過程中的亞基因組功能分化;在多倍體基因組的進化、作物的馴化以及提高花生產量和抗性等方面具有重要價值。

Arachis monticola自身以及與A. hypogaea?Hi-C互作熱圖
PART THREE

影響因子:13.256
中科院分區:
大類:生物 1區[Top]
小類:植物科學 1區
——————————————————————————————
論文題目:Musa balbisiana genome reveals subgenome evolution and functional divergence
研究物種:香蕉(Musa balbisiana)野生種Pisang Klutuk Wulung (B-基因組, 2n=2x=22)
合作單位 :中國熱帶農業科學院熱帶生物技術研究所
發表時間:2019年7月
染色體數:11
Hi-C測序深度及掛載率:~138×;87.27%

香蕉基因組Hi-C熱圖
PART FOUR

影響因子:12.121
中科院分區:
大類:綜合性期刊 1區[Top]
小類:綜合性期刊 1區
———————————————————————————————
ONE
論文題目:Genomic and transcriptomic insights into molecular basis of sexually dimorphic nuptial spines in Leptobrachium leishanense
研究物種:雷山髭蟾(Leptobrachium Leishanense)
合作單位 :華中師范大學
發表時間:2019年12月
染色體數:13
Hi-C測序深度及掛載率:~44×;3.31 Gb(92.9%)

雷山髭蟾基因組Hi-C熱圖
TWO
論文題目:Extensive intraspecific gene order and gene structural variations in upland cotton cultivars
研究物種:陸地棉(Gossypium hirsutum?L.)TM-1及ZM24
合作單位 :中國農業科學院棉花研究所
發表時間:2019年7月
染色體數:26
Hi-C掛載率:TM-1由先前遺傳圖的79.2%,提升至97.4%;ZM24掛載率為93.2%

陸地棉TM-1及ZM24基因組Hi-C熱圖
PART FIVE

影響因子:12.084
中科院分區:
大類:生物 1區[Top]
小類:植物科學 1區|生化與分子生物學 1區
————————————————————————————————
ONE
論文題目:The reference genome of tea plant and resequencing of 81 diverse accessions provide insights into genome evolution and adaptation of tea plants
研究物種:茶樹(Camellia sinensis?var. Sinensis)
合作單位 :安徽農業大學
發表時間:2020年4月
染色體數:15條
Hi-C掛載率:86.73%

茶樹(舒茶早)基因組Circos圖
TWO
論文題目:The Coix?genome provides insights into Panicoideae evolution and papery hull domestication
研究物種:薏苡“大黑山”(Coix lacryma-jobi L.)
合作單位 :四川農業大學
發表時間:2019年11月
染色體數:10
Hi-C掛載率:98.8%

薏苡基因組信息列表
THREE
論文題目:A Chromosome-Scale Genome Assembly of Paper Mulberry (Broussonetia papyrifera) Provides New Insights into Its Forage and Papermaking Usage
研究物種:構樹(Broussonetia papyrifera)
合作單位 :中國科學院植物研究所
發表時間:2019年2月
染色體數:13
Hi-C測序深度及掛載率:~38.56×;99.25%

構樹基因組Hi-C熱圖
FOUR
論文題目:Population Genomic Analysis and De novo Assembly Reveal the Origin of Weedy Rice as an Evolutionary Game
物種名稱:雜草稻(Oryza sativa f. spontanea)
合作單位:沈陽農業大學水稻研究所
發表時間:2019年1月
染色體數:12
Hi-C測序深度及掛載率:~93×;99.19%

雜草稻基因組Hi-C熱圖
PART SIX

影響因子:11.093
中科院分區:
大類:生物 1區[Top]
小類:遺傳學 1區|生物工程與應用微生物 1區|生化與分子生物學 1區
————————————————————————————————
論文題目:The subgenomes show asymmetric expression of alleles in hybrid lineages of Megalobrama amblycephala?×Culter alburnus
物種名稱:翹嘴鲌(Culter alburnus);團頭魴(Megalobrama amblycephala)
合作單位:湖南師范大學、北京農林科學院、中南大學等
發表時間:2019年10月
染色體數:24
Hi-C掛載率:團頭魴93.86%

團頭魴基因組Hi-C熱圖
PART SEVEN

影響因子:8.154
中科院分區:
大類:生物2區[Top]
小類:植物科學 1區|生物工程與應用微生物 1區
————————————————————————————————
ONE
論文題目:The high-quality genome of diploid strawberry (Fragaria nilgerrensis) provides new insights into ?anthocyanin accumulation
物種名稱:黃毛草莓(Fragaria nilgerrensis)
合作單位:沈陽農業大學
發表時間:2020年1月
染色體數:7
Hi-C測序深度及掛載率:~55.88×;97.89%

黃毛草莓基因組Hi-C熱圖
TWO
論文題目:The high-quality genome of diploid strawberry (Fragaria nilgerrensis) provides new insights into anthocyanin accumulation
物種名稱:突尼斯石榴(Punica granatum?L.)
合作單位:中國農科院鄭州果樹研究所
發表時間:2019年9月
染色體數:8
Hi-C測序深度及掛載率:~55×;97.76%

突尼斯石榴Hi-C熱圖
TREE
論文題目:Genome sequencing of the Australian wild diploid species Gossypium austral?highlights disease resistance and delayed gland morphogenesis
物種名稱:澳洲棉(Gossypium austral)
合作單位:河南大學
發表時間:2019年9月
染色體數:13

澳洲棉基因組Hi-C熱圖
PART EIGHT

影響因子:7.051
中科院分區:
大類:生物 1區[Top]
小類:遺傳學 1區
————————————————————————————————
論文題目:Tung Tree (Vernicia fordii) Genome Provides A Resource for Understanding
Genome Evolution and Improved Oil Production
物種名稱:油桐(Vernicia fordii)
合作單位:中南林業科技大學
發表時間:2020年4月
染色體數:11
Hi-C掛載率:95.15%

油桐基因組circos圖
PART NINE

影響因子:6.286
中科院分區:
大類:生物 1區[Top]
小類:進化生物學 2區|生化與分子生物學 2區|生態學 1區
——————————————————————————————
ONE
論文題目:Chromosome-level genome assembly of the East Asian common octopus (Octopus sinensis) using PacBio sequencing and Hi-C technology
物種名稱:中華真蛸(Octopus sinensis)
合作單位:中國水產科學研究院黃海水產研究所
發表時間:2020年6月
染色體數:30
Hi-C測序深度及掛載率:77.93×;96.41%

中華真蛸基因組Hi-C熱圖
TWO
論文題目:Chromosome-level genome assembly of the greenfin horse-faced filefish (Thamnaconus septentrionalis) using Oxford Nanopore PromethION sequencing and Hi-C technology
物種名稱:綠鰭馬面鲀(Thamnaconus septentrionalis)
合作單位:中國水產科學研究院黃海水產研究所
發表時間:2020年5月
染色體數:20
Hi-C測序深度及掛載率:~84.6×;99.44%

綠鰭馬面鲀Hi-C熱圖
THREE
論文題目:Genomic analyses of a “living fossil”: The endangered dove-tree
物種名稱:珙桐(Davidia involucrata)
合作單位:四川大學
發表時間:2020年1月
染色體數:21
Hi-C測序深度及掛載率:112 ×;88.07%

珙桐基因組Hi-C熱圖
FOUR
論文題目:Chromosome-level genome assembly of the predator Propylaea japonica?to understand its tolerance to insecticides and high ?temperatures
物種名稱:龜紋瓢蟲(Propylaea japonica)
合作單位:中國農業科學院棉花研究所
發表時間:2020年1月
染色體數:10
Hi-C測序深度及掛載率:162?×;98.3%

龜紋瓢蟲Hi-C熱圖
FIVE
論文題目:Comparative genome/transcriptome analysis probes Boraginales’ phylogenetic position, WGDs in Boraginales, and key enzyme genes in the alkannin/shikonin core pathway
物種名稱:車前葉藍薊(Echium plantagineum)
合作單位:南京大學
發表時間:2019年10月
染色體數:8

車前葉藍薊基因組Hi-C熱圖
PATR TEN

更多百邁客Hi-C掛載成功案例如下所示

?文:豆沙包
排版:市場部
參考文獻:
[1]Huang G , Wu Z , Percy R G , et al. Genome sequence of Gossypium herbaceum and genome updates of?Gossypium arboreum?and?Gossypium hirsutum?provide insights into cotton A-genome evolution[J]. Nature Genetics, 2020, 52(5).
[2]Chen L Y , Vanburen R , Paris M , et al. The bracteatus pineapple genome and domestication of clonally propagated crops[J]. Nature Genetics, 2019, 51(10):1-10.
[3]Wang M, Tu L, et al. Reference genome sequences of two cultivated allotetraploid cottons,?Gossypium hirsutum?and?Gossypium barbadense.[J]. Nature genetics, 2019.
[4]Zhag J, Zhang X, et al. Allele-defined genome of the autopolyploid sugarcane Saccharum spontaneum L[J]. Nature Genetics, 2018, 50.
[5]Du X , Huang G , He S , et al. Resequencing of 243 diploid cotton accessions based on an updated A genome identifies the genetic basis of key agronomic traits[J]. Nature Genetics, 2018.



京公網安備 11011302003368號