基因表達具有時間和空間特異性。scRNA-seq 使得我們可以在分辨率上研究轉錄組表達數據。空間轉錄組學(ST)可以將轉錄特征映射到不同組織區域,使得人們能夠從空間的角度解析數據。百邁客可為您提供10x genomics scRNA-seq & spatial transcriptomics (ST) 技術服務,得到單細胞時空圖譜數據實現在時空上分析基因的表達。
單細胞和空間轉錄組表達數據相關性分析
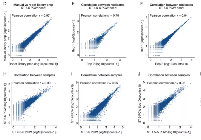
對同一樣本的 scRNA-seq 的基因表達數據與空間轉錄組的基因表達數據或者同一樣本的不同切片數據進行 Pearson 相關性分析,從而評估技術重復之間的相似性[1]。
Fig1. 相關性散點圖
細胞類型和空間組織區域的錨定
將 scRNA-seq 數據集作為參考,使用因子分析來預測每個spot可能的單細胞組成,從而實現在空間上定位所有的 scRNA-seq 亞群[2]。

Fig2. 細胞類型在空間組織區域的分布
注:左側圖為ST的各個簇(cluster)的UMAP展示;左側中間圖為 clusters 在空間組織上的聚類可視化展示;右側圖為 ST 與 scRNA-Seq 細胞類型注釋結果的整合

Fig3. 細胞類型在空間組織區域的分布
注:左圖展示單獨各個細胞類群在空間的分布情況,右圖為空間組織切片每個spot的細胞類型展示圖,不同顏色表示不同的細胞類型
多模式交互式分析
為了注釋不同組織區域的√確的細胞組成,引入了 multimodal intersection analysis 方法[3]整合 scRNA-seq 數據和ST數據。MIA 方法通過計算某區域的差異基因與scRNA-seq數據鑒定的細胞類型差異基因之間的重疊程度,來推斷特定組織區域中特定細胞類型的富集情況。

Fig4. MIA
注:熱圖行表示個細胞類型,列為空間組織區域,紅色表示富集,藍色表示缺失
通過繪制韋恩圖展示空間組織區域的差異基因與scRNA-seq各亞群差異基因的整體情況。

Fig5. venn
注:每個花瓣上的數字表示該細胞亞群或組織區域的差異基因總數,中間圓心的數字表示所有細胞亞群與組織區域的交集基因數
隨著高通量測序技術的發展,scRNA-seq & ST 越來越多的被應用到各個領域的研究。但是如何實現scRNA-seq & ST 的聯合,從更深的層面分析、挖掘數據?如何解析數據背后的生物學意義呢? 百邁客為您提供scRNA-seq & ST 服務分析平臺,如果您也對單細胞和空間轉錄技術感興趣,歡迎老師來電咨詢!
參考文獻
1. A Spatiotemporal Organ-Wide Gene Expression and Cell Atlas of the Developing Human Heart
2. Spatiotemporal analysis of human intestinal development at single-cell resolution
3. Multimodal Analysis of Composition and Spatial Architecture in Human Squamous Cell Carcinoma


京公網安備 11011302003368號