導讀
由北京百邁客生物科技有限公司與中國熱帶農業科學院橡膠研究所合作的研究論文《Comparative full-length transcriptome analysis provides novel insights into the regulatory mechanism of natural rubber biosynthesis in Taraxacum kok-saghyz Rodin roots 》與今年11月在官網在線發表。該文運用Nanopore三代測序技術為橡膠草中天然橡膠生物合成的調節機制提供了新的見解。該文充分體現了ONT全長轉錄組可同時對基因和轉錄本進行定量,定性定量準確性高的優勢。基于上一次的文章《做ONT全長轉錄組,一定要找百邁客》,這一次小編帶大家溫故知新,深入了解ONT全長轉錄組的應用。
英文題目:Comparative full-length transcriptome analysis provides novel insights into the regulatory mechanism of natural rubber biosynthesis in Taraxacum kok-saghyz Rodin roots
中文題目:橡膠草根全長比較轉錄組為天然橡膠生物合成的調控機制提供了新的見解
發表期刊:Industrial Crops & Products
影響因子:5.645
研究背景
橡膠草(Taraxacum kok-saghyz,TKS)是一種小型、二倍體、有性生殖、蓮座狀多年生植物。它屬于菊科植物,起源于中國和哈薩克斯坦的天山山區。TKS的根部可以產生大量的天然橡膠(Natural rubber,NR)(高達20%干重),其分子量與巴西橡膠樹相似。TKS具有種植面積廣、NR含量和質量高、易于種植和收獲、成熟時間短等優點,因此TKS是一種具有商業前景的優質NR替代源。然而,高雜合度和自交不親和導致的近交衰退是將TKS培育成NR生產作物的嚴重挑戰。更好地理解NR生物合成途徑和相關基因,以及TKS中相互競爭的代謝途徑,將有助于選擇合適的經典或生物技術育種策略來改善TKS培育。迄今為止,許多與NR生物合成相關的基因已在TKS和其他NR生產植物中被鑒定。TKS基因組組裝于2017年構建,鑒定出40個屬于MVA途徑的基因、19個參與起始劑合成的基因和20個參與NR合成的基因。然而,關于TKS中NR生物合成的分子機制的知識仍然是不完整和難以捉摸的。
更好地理解TK中NR的生物合成,包括識別限速酶和競爭代謝途徑,對于定義經典育種策略和生物技術育種策略是必要的。最近發現,使用SMRT測序可以獲得全長轉錄組數據。然而,這項技術尚未應用于TKS,這大大限制了我們對TKS轉錄組的了解,尤其是對NR生物合成相關基因的了解。在本研究中,采用ONT測序技術獲得TKS根的全長轉錄組,并對具有不同NR含量的TKS組進行比較轉錄組分析,以探索哪些代謝途徑或基因在轉錄水平上影響或參與NR的合成、調節和積累。這項工作將有助于進一步了解NR生物合成的分子機制,這對于提高TKS的培養效率至關重要。
實驗材料和方法
實驗材料:野生TKS種群(來自中國新疆天山山區),并將其種植在中國海口橡膠研究所的種質苗圃中。
實驗方法:測定野生種群中TKS植物的干橡膠含量,從野生TKS群體中選擇橡膠含量最高的三個植物(LR-1:2.09%,LR-2:3.09%和LR-3:3.27%)和橡膠含量最高的三個植物(HR-1:9.21%,HR-2:8.92%和HR-3:9.06%)進行轉錄組分析。利用TKS的自交不親和性,構建了6個TKS組,并進行了組織培養繁殖。培養物在25?C溫室中培養,且有16小時的光照/8小時的暗光周期(光強度約為13000 LUX)。對
每個品組,總共收集1g組織培養幼苗(4個月齡)的新鮮根,清潔并冷凍。
測序策略:PromethION 平臺,共構建6個cDNA文庫。
主要研究結果與分析
1、全長轉錄組測序數據總體概述
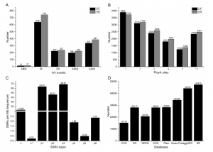
六個樣本的平均全長嵌合序列FLNC讀取率達到80.68%,平均獲得20360個非冗余轉錄本,平均N50長度和平均長度分別為1607bp和1378bp(表 1),這比之前獲得的根轉錄組數據要好。LR和HR組的平均AS事件分別為1408和1605。可變剪切分析結果顯示最常見的剪接類型是內含子保留,LR組占45.41%,在HR組占有46.29%(圖1 A)。互斥外顯子最不常見,在LR和HR轉錄組中分別為0.86%和1.04%。APA分析顯示具有一個多聚(A)位點的基因數量最高,LR和HR組的平均基因數分別為3896和3733,具有五個多聚(A)位點的轉錄本數量最低,分別為1242和1386(圖1B)。文中共對54135個序列(77606351bp)進行了SSR分析,包括16354個SSR序列和12855個含有SSR的序列。此外,單核苷酸、二核苷酸、三核苷酸、四核苷酸、五核苷酸和六核苷酸的數量分別為5522、4258、6139、176、44和215。其中,三核苷酸SSR的密度最高,為68(圖1C)。

圖1 轉錄組數據統計分析
2、EDGs的KEGG通路分析
在HR與LR的比較中確定了3134個DEG;其中,1157個DEG上調,1977個DEG下調(圖2)。對HR和LR中的DEG進行KEGG途徑富集分析,以揭示代謝機制中的DEG(圖3)。發現次級代謝產物生物合成途徑(苯丙烷生物合成、倍半萜和三萜生物合成)顯著富集,并且這些途徑中的大多數DEG在HR組中被下調。相反,在HR組中,參與NR生物合成、光合作用和過氧化物酶體途徑的DEG普遍上調。
在次級代謝富集途徑中,苯丙烷生物合成產生大量次級代謝產物,如二苯乙烯類、二芳基庚烷類、姜辣素、類黃酮等。在HR和LR中,苯丙烷生物合成途徑中鑒定出39個DEG(圖4A)。在這些DEG中,三個編碼苯丙氨酸解氨酶的基因在HR組中被下調,它們催化苯丙烷生物合成的第一步。同樣,三個編碼反式肉桂酸4-單加氧酶的基因和一個編碼咖啡酰輔酶A O-甲基轉移酶的基因被下調。結果表明,需要乙酰輔酶A參與的苯丙烷和許多其他次級代謝產物(二芳基庚烷、姜辣素和黃酮)的合成在HR系中減少。在倍半萜和三萜生物合成途徑中確定的四個DEG中,HR組中有三個基因下調(圖4B),其中,編碼鯊烯合酶的基因是最顯著的下調基因。結果表明,HR品系中這些次生代謝物的合成少于LR品系中的合成,表明當IPP用作前體時,NR與諸如五環三萜和甾醇等次生代謝物之間存在競爭。
在光合作用途徑中,共鑒定出24個DEG,其中21個在HR組中上調(圖4C)。相反,在糖酵解的26個DGE和檸檬酸循環的12個DGE中,分別有22個和9個基因下調(圖4D和E)。此外,檸檬酸循環中的幾個關鍵基因,例如編碼烏頭酸水合酶、異檸檬酸脫氫酶和琥珀酰輔酶A合成酶的基因在HR組中下調。過氧化物酶體是主要參與脂肪酸β-氧化和光呼吸等氧化代謝反應的細胞質細胞器。在過氧化物酶體途徑中鑒定出19個DEG,在HR和LR中有12個下調基因和7個上調基因(圖4F)。在這些基因中,一個編碼過氧化物酶體生物發生蛋白5的過氧化物酶體生物發生基因和一個編碼過氧化物酶體煙酰胺腺嘌呤二核苷酸載體的基因在HR組中上調,后者對脂質降解至關重要。結果表明,在HR株系中可以獲得額外的脂源乙酰輔酶A,并且可以用于NR的生物合成。
在脂肪酸代謝中,包括亞油酸、α-亞麻酸和花生四烯酸代謝,共鑒定出27個DEG;其中,24個基因在HR組中下調,包括兩個編碼棕櫚酰蛋白硫酯酶的基因、一個編碼長鏈酰基輔酶A合成酶的基因和一個編碼三酰甘油脂肪酶SDP1的基因,參與亞油酸、α-亞麻酸和花生四烯酸的合成(圖4H)。酮體是葡萄糖的重要替代能源,一個編碼羥甲基戊二酰輔酶A裂解酶的基因是催化酮生成的關鍵步驟,在HR組中被下調(圖4H)。
在植物激素啟動的信號途徑中,共鑒定出24個DEG,其中19個基因在HR組中下調,包括兩個BAK1基因,它們介導油菜素類固醇(BR)信號(圖4I)。此外,參與抗病性的NPR1/NIM1樣基因和3個參與茉莉酸反應的TIFY基因在HR株組中也被下調。在植物-病原體相互作用途徑中,共鑒定出23個DEG,HR株組中有20個基因被下調,包括植物激素啟動的信號途徑中的BAK1(圖4J)。

圖2,3,4差異基因鑒定與KEGG分析
注:A:苯丙烷生物合成;B:倍半萜和三萜生物合成;C:光合作用;D:糖酵解糖異生;E:檸檬酸循環;F:過氧化物酶體;G:谷胱甘肽代謝;H:脂肪酸和酮代謝;I:植物激素啟動;J:植物-病原相互作用。
3、NR生物合成相關基因的表達分析
焦磷酸異戊烯基(IPP)作為NR的基本組成部分,通過胞質甲戊酸(MVA)途徑或質體MEP途徑形成。在MVA途徑中,鑒定出七種ACAT,它們催化MVA途徑的第一步。其中,ACAT3、ACAT4、ACAT5和ACAT7在高表達水平的HR組中下調,而ACAT2、ACAT6和ACAT8在低表達水平下略微上調(圖5)。共鑒定出12個HMGR,其中9個HMGR在HR組中不同程度下調,尤其是HMGR3,其在HMGRs中的表達水平最高。MVA途徑中的其余基因,如MVAK和PK、HMGS和MVD,具有相似的表達模式,它們在HR和LR中的差異表達水平不顯著(圖5)。結果說明MVA途徑是TKS根部NR生物合成的IPP的主要來源。
在起始劑合成途徑中,IPP用作起始劑來合成聚丙烯基二磷酸。在本研究中,編碼異戊烯基二磷酸異構酶(IPI)、香葉基二磷酸合酶(GGPS)、香葉基二磷酸合酶(GPS)和法尼基二磷酸合酶的19個基因中沒有DEGs (FPS)在HR和LR中(圖5),表明引發劑合成可能不是TKS中NR合成的限制因素。
在NR合成途徑中,CPT是NR在橡膠顆粒上伸長的關鍵基因。總共確定了六個CPT,其中,表達最高的CPT1在HR組中顯著上調(圖5)。作為橡膠復合物成分的兩種CPTL在HR組中上調,CPTL1的表達水平顯著高于CPTL2(圖5)。作為結構蛋白和穩定橡膠顆粒的SRPP對NR合成至關重要,共鑒定出8個SRPPs(SRPP1–7,9),在NR生物合成相關的所有基因中表達水平最高。盡管在HR株組中SRPP1和SRPP2顯著下調,但表達水平最高的前3個株組的SRPP5、SRPP6和SRPP9明顯上調,并且HR株組中SRPPs的總體表達水平也高于LR株組(圖5)。涉及橡膠顆粒穩定性的REF在HR組中的表達水平高于LR組。上述結果表明,參與NR合成的關鍵基因,尤其是CPTs和SRPPs的表達水平與NR產量成正比,這進一步證明了這些基因在NR生物合成中的重要作用。
菊粉是一種豐富的代謝物,僅在TKS根部積累,被認為是一種碳儲存源,可用于生產NR的乙酰輔酶A。本研究確定了菊粉代謝途徑中的三個主要基因。其中,編碼蔗糖1-果糖基轉移酶(1-SST)的基因在HR組中上調,而編碼果聚糖1-果糖基轉移酶(1-FFT)的基因下調。然而,在LR和HR組中,參與菊糖合成的兩個基因的表達水平沒有達到顯著不同的水平(圖5)。編碼1-果聚糖外水解酶(1-FEH)的基因催化菊糖降解,在LR和HR株組中具有相似的表達水平(圖5)。上述結果可能表明,LR株系中菊糖的儲存量比HR株系中多,HR株系中的游離蔗糖和游離乙酰輔酶A可用于MVA或MEP途徑,以促進NR和三萜的產生。此外,菊粉降解可能不是合成MVA和NR的乙酰輔酶A的主要來源。

圖5 HR和LR系NR生物合成途徑基因表達比較
總結
在本研究中,利用ONT技術獲得了含有LR和HR組的TKS組的高質量全長根轉錄組數據,并對LR和HR組進行了比較根轉錄組分析。結果表明,NR生物合成關鍵基因的表達水平與NR產量成正比。另一方面,NR與許多其他代謝產物(如倍半萜、三萜、二芳基庚烷、姜辣素、類黃酮等)在使用底物(IPP或乙酰輔酶A)時存在競爭關組。因此,本研究為TKS中NR生物合成的調節機制提供了新的見解。此外,本研究中發現的與NR合成相關的基因或途徑將是未來基因改造和分子育種的重要目標。




京公網安備 11011302003368號