
物種中不同品系表型差異示意圖
(Jayakodi M et al., DNA Research; Tian X et al.Sci China Life Sci; Barchi L et al.,Plant J)
因此對于一個物種來說,如果只使用單一的參考基因組進行遺傳馴化變異的研究,可能會丟失掉大量有意義的基因信息。為了解決這些問題并充分理解關鍵物種中重要性狀形成機理,為育種奠定重要的研究基礎,動植物泛基因組研究應運而生。

泛基因組近年發展趨勢(基于NCBI PubMed搜索pan-genome)
泛基因組分析有助于理解物種的特征,同時泛基因組圖譜提供的復雜基因組變異,有助于解析作物表型和農藝性狀的多樣性。選擇不同亞種材料進行泛基因組測序,可以研究物種的起源及演化等重要生物學問題;選擇野生種和栽培種等不同特性的種質資源進行泛基因組測序,可以發掘重要性狀相關的基因資源,為科學育種提供指導;選擇不同生態地理類型的種質資源進行泛基因組測序,可以開展物種的適應性進化、外來物種入侵性等熱門科學問題。

泛基因組在遺傳變異發掘和植物分子育種中應用[1]
其實說了很多泛基因組的概念與意義,那么泛基因組到底能分析哪些內容呢?接下來容小編一一道來~

泛基因組構建的開放性檢測
廣義的泛基因組是指獲取該物種全部遺傳信息,構建一個非冗余的集合體。由于個體間的差異,在構建泛基因組的時候會在參考基因組的基礎上,不斷引入新的特異性序列。因此,統計結果可發現整個泛基因組的大小隨著個體數量的增加而增加,核心基因組(幾乎存在與全部個體基因組中)的大小隨著個體數量的增加而減小(如圖1)。
由于物種受到生存環境與生態位差異、有效群體規模、多態性水平差異等因素的影響,泛基因組呈現開放型和閉合型兩種模式。對于閉合型的泛基因組,核心基因組和整個泛基因組含量會隨著個體增加很快到達平臺期。而開放型泛基因組的物種具有更豐富的遺傳資源庫、更強的多態性與環境適應性,因此想達到平臺期通常需要更多的個體加入,才能通過有限的個體充分展示物種內全部遺傳信息。從而,通過泛基因組與核心基因組的比例統計,可以了解所選材料構建的泛基因組是否具有一定的代表性。

圖1開放型(左)與閉合型(右)泛基因組[2]
泛基因組核心與非核心基因分析
泛基因組分析通過對每個個體中共有情況進行基因集聚類,通常分為以下三種:
核心基因(core gene):在所有動植物品系或者菌株中都存在的基因;非核心基因(dispensable gene):在1個以及1個以上的動植物品系或者菌株中存在的基因。特有基因(Private):僅在一個品系中存在的基因。

圖2 核心基因與非核心基因示意圖[3]
隨著基因組數量的增加,核心基因的識別將嚴重受到denovo中組裝錯誤的影響。為了糾正這種錯誤,一些科研工作者將泛基因組進一步細分:在所有基因組的為核心基因(core),在幾乎所有品系中發現的為soft-core,在比soft-core少但不止幾個品系的品系中發現的shell,以及在只有幾個品系中發現的為cloud。具體的分類比例與樣品數量間的關系并不固定,目的均是為了對基因進行分組,以便進行可靠的比較(圖3)。而這些分組的基因頻率呈現不對稱的首尾高中間低的分布形式,充分展示了不同類別基因型的占比情況。

圖3 棉花(上左)、雞(上右)與高粱(下)泛基因組成分
(Li J et al.Genome Biol.2021;Wang K et al.,Mol Biol Evol.2021;Tao Y et al.,Nat Plants.2021)
除此之外,根據core、dispensable等各組分聚類結果構建基因家族的存在與缺失分布熱圖,進一步了解不同材料中的差異情況。同時可結合不同來源or不同表型等特征充分挖掘其基因型的多態性。

圖4 雞泛基因組中每個個體基因家族的存在缺失分布圖
(Wang K et al.,Mol Biol Evol.2021)
從進化的角度來講,pan-genome中鑒定出的核心基因(core genes)可能是執行關鍵功能的基因,其在一個物種中傾向于一些保守的基因。相反,非核心基因促進了物種的多樣性,使其能夠適應各種環境條件。核心基因通常富集到控制著生命體基本生成代謝的基本細胞功能,而非核心基因則富集到與環境和防御反應,受體和抗氧化劑活性,基因調控以及信號轉導等相關的功能。通過功能注釋可了解到核心、可變與特有基因家族的功能情況,從而找尋物種特異的功能與性狀形成相關通路(圖5)。

圖5 水稻共有和特有基因家族分析
(Choi J Y et al., Genome Biology.2020)
例如,地中海貽貝泛基因組研究中發現,可變基因顯著富集在與環境適應性相關的通路中(如細胞凋亡、免疫信號傳導等),增強了地中海貽貝的環境適應性(圖6)。

圖6 貽貝泛基因組表達情況
(Gerdol M et al., Genome Biology.2020)
眾多研究表明,非核心基因比核心基因的可變性更強;與核心基因集相比,非核心基因集中的非同義突變比同義突變的比率要高。因此通過同義與非同義突變(ka/ks)可以用來檢測非核心基因集中基因是否受到選擇作用。

圖7 高粱泛基因組Ka/Ks占比情況
(Tao Y et al.,Nat Plants.2021)
泛基因組變異分析
結構變異是泛基因組的重點研究對象,這些變異信息為物種的人為選擇及自然選擇提供原始的材料。了解變異產生的過程,探究不同材料的變異程度并利用有利的變異對維持并提高物種生產力至關重要,有助于解析物種表型和農藝性狀的多樣性。泛基因組研究,為更好地了解SV在動植物馴化中的作用提供了基礎。主要研究的變異類型為:SNP(Single nucleotide polymorphism),即單核苷酸多態性變異,主要指在基因組水平上由單個核苷酸的變異所引起的DNA序列多態性,這種變異可由單個堿基的轉換(transition)或顛換(transversion)所引起。InDel(Insertion-Deletion),指的是在基因組的某個位置上所發生的小片段序列的插入或者刪除,其長度通常在在 2 bp-50 bp 之間。SV(Structure Variantions),即基因組結構性變異,通常指的是基因組上大長度的序列變化和位置關系變化,有豐富的變異類型,包括長度在50bp以上的長片段染色體倒位、染色體易位、重復、存在/缺失(PAV)、拷貝數變異(CNV)。

圖8 SV變異類型[4]
例如高粱泛基因組研究發現,相對于參考基因組,其它高粱個體基因組中有429~1118個基因存在拷貝數變異(CNV)。功能注釋顯示這些CNV基因豐富了防御反應、信號轉導和細胞蛋白分解代謝等生物學過程。并且不同高粱個體基因組上存在大量的存在缺失變異(PAV),有2514個基因受PAV嚴重影響,這些基因富集于與生物和非生物脅迫相關的生物過程,而抗病基因在這組基因中顯著富集。進一步研究發現Yellow seed1、SbRc的PAV影響到高粱籽粒顏色變化(圖9)

圖9 Yellow seed1 基因和sbRc基因的序列差異
(Tao Y et al.,Nat Plants.2021)
除此之外,在其他物種中同樣也發現大量結構變異導致性狀差異。在水稻中,主要基因的presence/absence變異賦予其對淹沒這一環境的耐受性,如Sub1A基因的PAVs變異(Xu et al., 2006),兩個乙烯反應因子基因,SNORKEL1和SNORKEL2,進一步引發了深水水稻與非深水水稻對水深的不同反應(Hattori et al., 2009)。水稻泛基因組研究發現SV熱點區域與稻瘟病抗性QTLs重疊/鄰接,OsGLP2-1的存在可能保證種子的適當休眠,有助于其適應環境。

圖10 水稻SV熱點區域與種子休眠相關基因插入
(Qin P et al., Cell.2021)
眾多泛基因組SV分析結果中我們不難發現,SV在農作物重要農藝性狀的遺傳控制中起著關鍵作用。基因組的結構變異可以導致物種個體間基因結構、表達特性、基因劑量等發生實質性地變化,并對動植物農藝性狀形成了深刻的影響。
圖形泛基因組構建
圖形泛基因組是指以參考基因組為框架,將其他個體材料基因組序列與之比對,存在差異的地方構成不同的分支,并隨著新序列的加入不斷擴展變化,最終構建出一個包含全部變異信息的復雜圖形結構(圖11)。圖形泛基因組可以更好的展示每部分序列在泛基因組中的位置關系,使構建一個包含物種內全部遺傳信息的泛基因組成為可能。圖形泛基因組已經在大豆、水稻、牛、高粱等物種有了初步構建與應用,為基因組學研究提供了一個重要的推動力。
圖11 圖形泛基因組構建過程[3]
轉座子分析
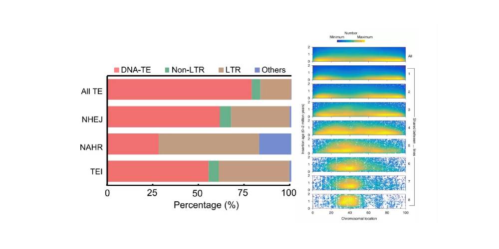
TEs轉座因子(Transposable element,TE):又稱之為“跳躍基因” “可移動的遺傳因子”,是基因組中最活躍的部分,TE的活性被認為是不同物種之間基因組大小變化的重要因素。SVs可以通過TEs轉座子的移動而形成(主要位于非核心基因區),在很多物種中已經發現PAVs富集在轉座子TEs區,TE活性可以介導大規模的染色體重排。隨著時間推移,轉座子兩端的LTR由于堿基突變逐漸產生了差異。通過這種與時間長短有關的序列差異,利用LTR之間的分化距離計算轉座子插入至基因組的時間,進而可以評估不同品種的遺傳進化關系。
水稻中TEs,尤其是LTRs促進非等位同源重組(Qin P et al.,Cell.2021);玉米泛基因組中隨著個體的增加,LTR插入呈現向中心富集,并與插入時間的增加相關。

圖12 水稻中TE類別比例與玉米LTR插入時間與分布
(Qin P et al., Cell.2021;Haberer G et al., Nat Genet.2020)
群體變異挖掘
由于泛基因組保留了群體完整的基因組多樣性,可鑒定到單一參考基因組無法鑒定的基因組變異。泛基因組結合GWAS、QTL等數據,可進一步提高變異與性狀關聯的精度,捕獲到更加完整的遺傳變異信息,植物遺傳學家和育種者提供全面的基因組資源,對于物種育種和研究具有重要的意義。例如玉米泛基因組研究發現,在檢測到的GWAS信號中,關聯信號中SV相關的信號有93.05%與SNPs識別的信號重疊,SV特有信號最顯著的是關聯到10號染色體上的北葉枯病QTL。該SV位于編碼thylakoid lumenal protein的基因內;這些蛋白質可以通過調節病毒感染期間的細胞死亡與植物免疫關聯。

圖13 玉米SV 與SNP GWAS(Hufford MB et al., Science.2021)
前期泛基因組系列文章已舉非常多的案例,這里不再反復闡述~(點擊回顧:泛基因組(Pan-genome)研究思路與應用—作物篇)
泛基因組研究展現了作物多樣性和改良的前景,總的來說其研究內容主要集中在不同生態型、表型等品系材料間共同與差異的基因與功能研究。重要的是這些變異能被挖掘并為育種提供重要的理論基礎。
而更重要的是,以上內容百邁客均可進行分析,圖片還老好看了;更更重要的是,百邁客可得到的結果還遠不止以上這些
如果您對我們的服務產品感興趣,歡迎點擊下方按鈕聯系我們,我們將免費為您設計文章思路方案。
參考文獻:
[1]趙均良,張少紅,劉斌.泛基因組及其在植物功能基因組學研究中的應用[J].植物遺傳資源學報,2021.
[2]邊培培,張禹,姜雨.泛基因組:高質量參考基因組的新標準[J].遺傳,2021.
[3]Lei L , Goltsman E , Goodstein D ,?et al. Plant Pan-Genomics Comes of Age[J]. Annual Review of Plant Biology, 2021.
[4]Coletta R D, Qiu Y, Ou S, et al. How the pan-genome is changing crop genomics and improvement[J]. Genome Biology, 2021.



京公網安備 11011302003368號