細胞學說提出“細胞是動物和植物結構和生命活動的基本單位”,只有充分了解細胞的特性與功能,才能深入理解生命現象的深層機制,才能明晰生物體生長發育的規律,才能辨明疾病發生發展的原因。單細胞測序(single-cell sequencing)在單細胞水平研究細胞的功能和細胞互作網絡,幫助我們深層次理解生命機制。
2013-2020?年,單細胞測序技術多次被?Science、Nature?等學術期刊評價為年度重點技術,正引領新一輪生物醫學領域的技術革命;在腫瘤、神經學、免疫、感染性疾病、生長發育和生殖健康等領域得到廣泛應用。
提到單細胞測序,我們腦中更多浮現得是scRNA-Seq(single-cell RNA -sequencing);scRNA-seq是目前常用的單細胞測序技術,但是逐漸呈現出一些固有的方法學問題:組織類型偏好(無法分析難解離的組織和凍存組織等);在細胞懸液制備中會引入一些轉錄偏好;組織解離時得到易于解離下來的細胞,敏感的細胞可能在解離時破碎;目前商業化的單細胞平臺都對細胞大小有限制等。
snRNA-seq(single-nucleus RNA-sequencing)以其獨特的優勢受到研究者的青睞,逐漸呈現出較為火熱的景象。目前在多種動植物組織,如腫瘤組織[1]、腦[7]、腎臟[3]、心臟[8]和脂肪[4]中得到應用,在植物單細胞中也逐漸展現了其優勢[5]。snRNA-seq是否可以和scRNA-Seq一樣,得到一致的結果,解析生物學特征,兩者之間有哪些差異,下面幾篇文獻可以略解您的疑慮,帶您初識snRNA-seq。
scRNA-Seq和?snRNA-seq方法比較文獻解析
1、A single-cell and single-nucleus RNA-Seq toolbox for fresh and frozen human tumors.

發表雜志:Nature Medicine
影響因子:36.13
發表時間:2020. 6. 25
實驗平臺:10x Chromium
實驗材料:新鮮和凍存的8種腫瘤組織,如NSCLC(非小細胞肺癌), ?NB(成神經細胞瘤),MBC(轉移性乳腺癌),GBM(腦膠質瘤),CLL(慢性淋巴細胞白血病),Ovarian(卵巢癌),Melanoma(黑色素瘤)和肉瘤。
研究內容:開發了一種系統工具箱,可以分別通過scRNA-Seq和 ?snRNA-Seq對新鮮和冷凍的臨床腫瘤樣品進行分析;對同樣的樣品進行scRNA-Seq和snRNA-Seq分析,結果顯示它們可以得到相同的細胞類型,但是每種細胞類型的占比不同。
主要結果:
a.?建立了系統性的scRNA-Seq和snRNA-Seq的實驗流程和數據分析流程
研究了8種不同類型的腫瘤組織,通過不同取樣方式,共獲得不同部位共23個標本的40個樣品的216,490個細胞和細胞核,這些樣品具有豐富的組織和樣品多樣性;對不同的細胞和細胞核分離方式,在實驗和數據分析中對細胞/細胞核質量、細胞/細胞核回收率、靈敏度、細胞類型和CNV 分析等方面進行評估,確定了實驗流程和數據分析流程(圖1-1);通過對8種腫瘤組織實驗和數據分析結果比較,推薦了細胞和細胞核分離方式(圖1-2)。

圖1-1 sc/snRNA-Seq 實驗和數據分析流程

圖1-2 不同腫瘤組織樣品信息和細胞/細胞核分離方式
對成神經細胞瘤(HTAPP-656)、轉移性乳腺癌?(HTAPP-963)、CLL (CLL1) 和 O-PDX (O-PDX1)相同的樣品同時進行scRNA-Seq和snRNA-Seq分析。兩種方法可以得到相同的細胞類型,但是每種細胞類型的占比不同;在成神經細胞瘤和轉移性乳腺癌中,scRNA-Seq獲得更多的免疫細胞,snRNA-Seq得到更多的惡性腫瘤細胞(圖1-3);細胞檢測到解離信號的比例比細胞核高,且信號值較高;在細胞和細胞核中,免疫細胞和基質細胞的解離信號更加明顯(圖1-4)。

圖1-3 scRNA-Seq and snRNA-Seq結果比較

圖1-4 ?scRNA-Seq and snRNA-Seq解離信號比較
2.Systematic comparison of single-cell and?single-nucleus RNA-sequencing methods
發表雜志:Nature biotechnology影響因子:36.558發表時間:2020. 4. 6實驗平臺:scRNA-Seq:低通量(Smart-seq2和CEL-Seq2)和高通量(10x Chromium、Drop-Seq、Seq-Well、inDrops和sci-RNA-seq)snRNA-Seq:Smart-seq2、10x Chromium、DroNc-Seq和sci-RNA-seq
scRNA-Seq:人(HEK293)和小鼠(NIH3T3)等比例混合細胞系和凍存人類PBMC(2個生物學重復);snRNA-Seq:凍存小鼠大腦皮層(2個生物學重復)Bulk RNA-Seq:以上3種材料
研究內容:選擇2種低通量和5種高通量方法進行scRNA-Seq或snRNA-Seq分析;為了直接比較、避免每種方法已有流程的影響,作者開發了一種更加靈活、適用于任何scRNA-Seq的方法“scumi”;通過比較reads的結構和比對情況、靈敏度、多胞率和解釋已知的生物學信息評估每種方法;兩種低通量方法表現相似,CEL-Seq2受其他細胞污染reads的影響比較明顯;10x Chromium在高通量方法中表現更優。
首先,開發了“scumi”軟件包,從FASTQ文件到產生適用下游分析的基因和細胞參數;其次,提出了下游分析前過濾低質量細胞的方案,這也是數據預處理的重要挑戰,然后對每個實驗類型每個細胞進行相同的reads數分析;最后,通過關鍵的參數對每種方法進行評估:①比對到細胞核和線粒體基因組的reads 及其結構;②捕獲RNA的靈敏度;③多胞率;④準確性和重復性;⑤得到細胞類型中重要的生物學差異的能力(圖2-1)。

圖2-1 scumi數據分析流程
b.?reads結構和比對到基因組的信息顯示不同方法具有效率差異結果顯示,不同的方法在預期的位置沒有Poly(T)reads比例明顯不同;外顯子、內含子、基因間、重疊的差異基因、多重比對以及無法比對的reads不同方法間基本一致;但是細胞核中內含子reads與外顯子reads的比率明顯高于細胞,因為細胞核中有較高比例未剪切的轉錄本(圖2-2)。

圖2-2 測序reads的基因組比對特征(a. Mixture, b.PBMCs, c.Cortex )
c.?不同實驗每種方法的靈敏度相對一致
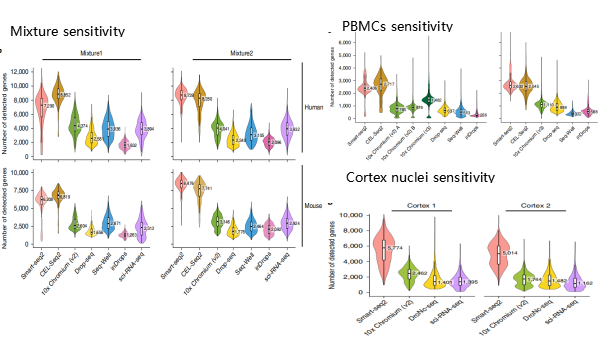
結通過分析每個細胞的reads數、UMIs 和基因數比較每種方法的靈敏度(即捕獲RNA的能力);7種方法中,低通量方法靈敏度最高,高通量方法中10x Chromium 每個細胞檢測到的UMI和基因數最多(圖2-3)。

圖2-3不同實驗每種方法的靈敏度比較
d.?不同的方法區別和獲得細胞類型的能力不同
選擇轉錄組分析方法最重要的一項指標就是這種方法能否解釋感興趣的生物學信息。為了更加公平的分析每種方法,我們對數據進行了一致性處理;選擇相同的Reads/cell 和cells/實驗進行細胞分群和細胞類型鑒定。
在PBMCs中,每種方法都可以獲得豐富的細胞類型,但是每種類型的豐度不同,且獲得稀有細胞類型的能力有差異(如漿狀樹突細胞);每種方法都有一定程度的血小板污染。
在大腦皮層中,細胞核分析得到小鼠大腦皮層多種細胞類型,包括興奮和抑制性神經元,星形膠質細胞,少膠質細胞,少突膠質祖細胞,小膠質細胞,內皮細胞和周皮細胞,其中周皮細胞只在DroNc-Seq Cortex1 中發現;sci-RNA-seq未得到少突膠質祖細胞和小膠質細胞(圖2-4)。

圖2-4不同實驗不同方法細胞類型的比較
3.Advantages of Single-Nucleus over Single-Cell RNA?Sequencing of Adult Kidney: Rare Cell Types and Novel Cell States Revealed in Fibrosis

發表期刊:J Am Soc Nephrol
影響因子:9.274
發表時間:2019.1
實驗平臺:
scRNA-seq :DropSeq
snRNA-seq:sNuc-DropSeq, DroNc-seq和?10x Chromium
實驗材料:8周大的小鼠腎臟
研究內容:
在比較分析中共產生?11,391?個轉錄本。scRNA-seq鑒定了10個細胞簇,包括一個人為解離誘導的壓力相應基因群,但是未鑒定到腎小球細胞。相反,3種snRNA-seq都鑒定到更加多樣性的腎細胞類型,包括腎小球足細胞,系膜細胞和內皮細胞,未檢測到壓力響應基因;檢測到的腎小球足細胞的比例是已知發表的scRNA-seq 數據的20倍(2.4% versus 0.12%)。更出乎意料的是,snRNA-seq和scRNA-seq 的基因檢測靈敏度一致。為了驗證snRNA-se方法的有效性,分析了經過纖維化和炎癥UUO治療第14天冷凍腎組織,鑒定了罕見近腎小球細胞,新活化的近端小管和成纖維細胞細胞狀態,以及之前未知的腎小管間質信號通路。

圖3-1?內含子對snRNA-seq?數據的影響
b.?snRNA-seq鑒定了3個特有的細胞類型
將4種方法的數據整合分析,共鑒定了13個細胞簇,包括足細胞,內皮細胞和腎小球膜細胞;3種snRNA-seq 檢測足細胞,內皮細胞和閏細胞的靈敏度更高;但是scRNA-seq未檢測到任何足細胞。差異基因表達分析顯示,?71.4%?基因在細胞和細胞核中都被檢測到;在檢測到的基因中,僅僅?5.0%?在細胞中的表達量高于細胞核,6.4%的基因在細胞核中的表達量高于細胞(fold change>1.5,?P value <0.05)(圖3-2);scRNA-seq高表達基因包括線粒體、核糖體基因和熱休克途徑中的基因;snRNA-seq高表達基因包括溶質載體、轉錄因子和Non-coding?RNA基因。

圖3-2 ??snRNA-seq?和scRNA-seq?差異分析?
?c.??snRNA-seq?分析經過纖維化和炎癥UUO治療的冷凍腎組織

圖3-3 ??snRNA-seq?對UUO治療冷凍腎組織的分析結果
snRNA-seq應用好文推薦
4. snRNA-seq reveals a subpopulation of?adipocytes that regulates?thermogenesis

發表信息:Nature;2020.10.28;IF:42.778。
單細胞平臺:Smart-Seq2?和10x Chromium
推薦理由:
通過對小鼠和人進行單細胞核轉錄組分析,發現脂肪組織中的新的細胞類型P4;通過對marker基因Cyp2e1和Aldh1a1的深度分析確定P4的主要功能,如免疫熒光染色,基因過表達、基因敲除,共表達等功能驗證技術。證明了這個亞群通過醋酸鹽介導的調節其產熱能力來調節鄰近脂肪細胞的活動。人類脂肪組織中含有較高數量的該亞群細胞,這可能解釋了與小鼠脂肪組織相比,人的產熱活性較低的原因,并提示靶向該途徑可用于恢復產熱活性。
5. The impact of chromatin remodeling on gene expression at the single cell level in Arabidopsis thaliana?

發表信息:bioRxiv preprint;doi:?https://doi.org/10.1101/2020.07.27.223156;?2020.07.28
單細胞平臺:10x Chromium
推薦理由:
利用原生質體進行單細胞轉錄組測序困難重重,如原生質體獲得困難(不同物種、不同發育時期和不同器官細胞壁成分不同),解離對基因表達的影響,原生質體細胞大小超出平臺的限制等;為了克服原生質體的困難,作者進行了單細胞核轉錄組分析;與已經發表的文章相比,不僅驗證了單細胞核轉錄組可以對擬南芥根進行分析,同時還發現了3種新的細胞類型;通過單細胞ATAC-Seq和snRNA-Seq?多組學聯合分析揭示染色質重塑對基因轉錄的影響,證明細胞類型特異性標記基因也顯示細胞類型特異性的染色質可及性模式。我們的數據表明,染色質的不同重塑是在細胞類型水平上調控基因活動的關鍵機制。
結束語
綜上所述,snRNA-Seq?分析細胞核內的RNA,可以解釋相應的生物學信息;snRNA-Seq?含有較多未剪切的轉錄本,包含內含子的序列進行分析,不僅可以提高提高RNA的捕獲能力,同時可以得到更多的稀有細胞類型;snRNA-seq解決了scRNA-seq中固有的一些問題,能夠獲得更為準確可靠的結果。
近幾年來,snRNA-Seq受到越來越多的青睞,文獻增長趨勢較為迅速;為特殊樣品(如冷凍組織)的單細胞研究提供新的途徑;為細胞單細胞研究開辟了新的思路。
snRNA-Seq和scRNA-Seq?是目前解析各種生命現象、揭示各種生物學機制的強有力的技術手段,各有千秋,研究者需要結合自身的條件來確定;如scRNA-Seq在神經小膠質細胞激活態(microglial activation)的研究中更勝一籌[6]。我們期待越來越多的研究者來解析單細胞轉錄學這浩瀚的星空,發現更多耀眼的星。
百邁客引進10xGenomics單細胞測序平臺,使用Chromium系統采用微流控、油滴包裹和barcode標記等技術實現一次性分離、高效標記捕獲;同時具有10x?單細胞轉錄組、單細胞核轉錄組、空間轉錄組、單細胞免疫組庫、全長轉錄組測序,實現10x平臺全面優質服務;已經具有大量單細胞分離捕獲,極低量RNA反轉錄擴增建庫成功經驗;提供單細胞分離捕獲、反轉錄建庫、測序、標準分析和高級分析全套單細胞測序服務;強大的生信團隊不僅提供基本分析,還提供細胞分化軌跡分析等多種高級分析;資深單細胞技術人員為您提供專業的課題方案設計,為您量身訂造專屬個性化分析。點擊下方按鈕聯系我們,將可免費獲得文章思路設計方案。
參考文獻
[1]A single-cell and single-nucleus RNA-Seq toolbox for fresh and frozen human tumors.Michal Slyper, Caroline B. M. Porter, Orr Ashenberg, et al .Nature Medicine ,May 2020,VOL 26:792-802
[2]Systematic comparison of single-cell and ?single-nucleus RNA-sequencing methods.Jiarui Ding, Xian Adiconis, Sean K. Simmons, et al.Nature Biotechnology,Nat Biotechnol. 2020 Jun,38(6):737-746
[3]Advantages of Single-Nucleus over Single-Cell RNA Sequencing of Adult Kidney: Rare Cell Types and Novel Cell States Revealed in Fibrosis.Haojia Wu, Yuhei Kirita, Erinn L. Donnelly,et al.J Am Soc Nephrol,2019(30): 23-32
[4]snRNA-seq reveals a subpopulation of adipocytes that regulates thermogenesis.Wenfei Sun,Hua Dong,Miroslav Balaz, et al.Published online: 28 October 2020.
[5]Andrew Farmer1, Sandra Thibivilliers , Kook Hui Ryu,??et al.The impact of chromatin remodeling on gene expression at the single cell level in Arabidopsis thaliana.bioRxiv preprint,doi: https://doi.org/10.1101/2020.07.27.223156;2020.07.28
[6]Single-Nucleus RNA-Seq Is Not Suitable for Detection of Microglial Activation Genes in Humans.Nicola Thrupp, Carlo Sala Frigerio, Leen Wolfs, et al.Cell Reports , 2020(32):1-8
[7]Dissecting Cell-Type Composition and Activity_Dependent Transcriptional State in Mammalian Brains by Massively Parallel Single-Nucleus RNA-Seq.Peng Hu, Emily Fabyanic,Deborah Y. Kwon, Sheng Tang,Zhaolan Zhou, Hao Wu.Molecular Cell.2017(68):1006–1015
[8]Systematic Comparison of High throughput Single-Cell and Single Nucleus Transcriptomes during Cardiomyocyte Diferentiation.Alan Selewa1, Ryan Dohn1, Heather Eckart, et al.Nature Scientific Reports | (2020) 10:1535



京公網安備 11011302003368號