
本次發布的植物廣靶定量代謝組學產品并非簡單技術迭代,百譜生物研發經理李天運在發布會中詳細介紹了該產品是針對植物研究領域長期存在的檢測靈敏度不足、數據庫不全、缺少內標定量三大痛點,形成多維度解決方案,獲與會專家高度認可。

針對傳統技術難以捕捉植物抗逆、品質形成過程中微量代謝物的痛點,該產品采用 AB SCIEX QTRAP7500 高靈敏度檢測平臺,將檢測限降低一個數量級,可精準定量低豐度植物代謝物、特殊滲透調節物質等低含量成分。即使是植物應對脅迫時微量積累的關鍵代謝物,也能被清晰捕捉。

代謝組研究的核心在于數據庫完整性,該產品將代謝物數據庫從傳統 “數千種” 擴容至 “數萬種”,高達7萬種,并補充標準品多維注釋信息,使代謝物鑒定準確率大幅提升,可有效避免 “漏檢關鍵成分”“誤判物質種類” 等問題。

業內首次在植物廣靶技術上加入同位素內標進行定量分析平臺,擁有多種內標選擇,能根據不同的檢測需求和化合物特性,靈活挑選合適的內標,通過基質內標線性和自研算法校正,可以得到更為準確的定量結果。

SCIEX中國市場開發經理方晶晶深度解讀了QTRAP7500設備技術的革新和優勢,他認為:“代謝物的高通量、高靈敏和大隊列穩定性是未來代謝組發展的重要方向”。

發布會上,百邁客生物創始人兼CEO鄭洪坤指出行業核心痛點:“測序能找植物的基因,但代謝組才懂它的‘品質’!”他表示,現在代謝組在農業里的用處還沒完全打開,未來要靠 “測序 + 代謝組” 組合拳,比如在育種環節通過基因篩選鎖定潛力品種,再以代謝組驗證維生素含量等品質指標,提升育種效率與準確性。

百譜生物總經理曹以襯公布近期發展規劃:這款植物廣靶定量代謝組學產品,是我們團隊潛心研發的核心成果——它打破了傳統技術在檢測靈敏度、數據庫覆蓋度上的局限,將成為植物研究領域的高效工具!未來我們將聯合頂尖設備廠商升級檢測平臺,進一步提升超微量代謝物檢測能力,為農業科研創新、品種改良與產業升級提供關鍵支撐。

中國科學院海洋研究所段德麟研究員表示:傳統品質研究像“看表面癥狀”,難知代謝層面連鎖反應;定量代謝組技術能幫我們“找病根”:可定量脅迫下小分子代謝物變化,整合數據構建完整代謝調控網絡,還能測低含量抗逆物質提供精準標志物,培育口感更好、風味更佳的品種。
北京大學現代農業研究院王旭教授以辣椒研究為例:“傳統依賴感官評價判斷辣椒辛辣度,精準度低且主觀性強。該技術可定量檢測辣椒素合成的多種中間產物,我們已通過其篩選出維生素C高含量的辣椒品種,推動品質育種升級。”
中國科學院海洋研究所張立濤副研究員認為:傳統方法研究微藻蝦青素合成途徑,僅能發現終產物變化,無法定位影響關鍵代謝物的中間途徑,尤其是強光、氮源等因素調控不同產物的分支途徑。植物廣靶定量代謝組學技術可精準識別終產物及其中間產物,為提升微藻中活性物質合成提供了明確的方向。

北京大學現代農業研究院王旭教授(左二)、中國科學院海洋研究所段德麟研究員(右二)、中國科學院海洋研究所張立濤副研究員(右一)

?9?月?17?日,百邁客生物推出的植物廣靶定量代謝技術,標志著植物代謝組學正式進入廣靶、精準、實用的新階段,未來將在功能食品開發、作物育種優化、農業抗逆管理等多個方面發揮深遠影響。>>詳情

2025?年?9?月?17?日,由百邁客生物與百譜生物聯合主辦的?“植物廣靶定量代謝組學發布會”?在青島成功舉辦。會上推出的植物廣靶定量代謝組學技術,為植物基礎研究與農業產業升級注入新動能,引發行業廣泛關注。中國科學院海洋研究所段德麟研究員、北京大學現代農業研究院王旭教授等專家出席。>>詳情

2025 年 9 月 17 日,在青島舉辦的“植物廣靶定量代謝組學發布會”上。百邁客生物與百譜生物聯合推出植物廣靶定量代謝組學技術,為植物基礎研究與農業產業升級注入新動能,引發行業廣泛關注。中國科學院海洋研究所段德麟研究員、北京大學現代農業研究院王旭教授等專家與企業代表應邀出席。>>詳情

9月17日,新一代植物廣靶定量代謝組學技術在青島自貿片區發布,該技術使得植物在抗逆、品質形成過程中微量積累的關鍵代謝物得以清晰捕捉,為深入研究植物生理機制注入新的科研動力。中國科學院海洋研究所段德麟研究員等行業專家受邀出席。>>詳情

9月17日,百邁客生物在青島自貿片區發布新一代植物廣靶定量代謝組學技術,該技術直面植物研究領域長期存在的三大核心難題:檢測靈敏度低、代謝物覆蓋范圍有限、缺乏精準定量的內標方法,通過多維創新提升植物代謝組學研究的效率與準確性。>>詳情

2025年9月17日,百邁客生物與百譜生物聯合發布“植物廣靶定量代謝組學技術” 。該技術采用?AB SCIEX QTRAP7500?高靈敏度檢測平臺,將檢測限降低一個數量級,相較于傳統?SCIEX Triple Quad? 6500 +?平臺,對低豐度植物代謝物、特殊滲透調節物質等低含量成分的檢測能力顯著提升。為深入研究植物生理機制提供更多可能。>>詳情

9月17日,百邁客生物與百譜生物聯合發布“植物廣靶定量代謝組學技術” 。這一技術使得植物在抗逆、品質形成過程中微量積累的關鍵代謝物得以清晰捕捉,為深入研究植物生理機制提供了技術可能。中國科學院海洋研究所段德麟研究員、北京大學現代農業研究院王旭教授等行業專家及企業代表受邀出席。>>詳情

植物研究領域受限于檢測靈敏度不足、代謝物數據庫不全、缺乏精準內標定量等問題,尤其是在非模式植物研究中,微量代謝物難以捕捉、關鍵成分易漏檢誤判、定量結果準確性不足等痛點,嚴重制約了研究效率與產業應用進程。此次發布的植物廣靶定量代謝組學技術,針對性提出多維度解決方案。>>詳情
]]>
植物代謝組研究伴隨著分析技術的發展和對植物代謝認識的深入而逐步開展。19世紀末,科學家開始研究植物的化學成分及其藥理作用,這成為植物代謝組研究的雛形。
1998年,Steven Oliver 在一篇關于酵母功能基因組學的綜述文章中創造了 “metabolomics” 一詞。此后,世紀之交發表的多篇論文闡述了代謝物譜分析在植物代謝調控等研究中的應用潛力,這些研究主要采用非靶向分析方法,推動了多元統計方法在植物和細胞功能研究中的廣泛應用。
2010年前后,植物代謝組學研究日趨成熟,高分辨質譜技術、代謝組學成像技術和代謝組學定量分析技術等得到廣泛應用。
2023年,中國科學院分子植物科學卓越創新中心李軒團隊構建了涵蓋苔蘚植物、石松植物、蕨類植物、裸子植物和被子植物五大類群的150多個植物物種的參考代謝組及其數據庫RefMetaPlant,為植物代謝及植物生理相關研究提供了關鍵支持,促進了代謝組學領域的數據交流共享與合作。
從種子萌發到果實成熟,植物每一步代謝活動都暗藏“量化密碼”。植物代謝組是植物生長發育、逆境響應及品質形成的?“動態檔案”,而定量分析則是解讀這份檔案的關鍵鑰匙。為此,由青島百譜生物科技有限公司、北京百邁客生物科技有限公司聯合主辦的“植物廣靶定量代謝組學發布會”,將于9月17日在山東青島隆重召開。
發布會以“量溯代謝” 為核心,將系統揭示植物定量代謝組學在科學研究與農業產業中的雙重驅動力。發布會將分享基于液相色譜-高分辨質譜(LC-HRMS)等技術的植物代謝物定量方法創新,詳解如何實現對數千種初生代謝物(如糖、氨基酸)和次生代謝物(如黃酮、生物堿)的精準定量與動態追蹤。
此外,本次發布會將匯聚來自全國的諸多杰出學者與專家,他們將以論壇交流的形式在此深入研討與溝通,共同促進代謝組學在農業中的研究,為我國在該領域的科技進步貢獻卓越的智慧和力量。
鄭洪坤:百邁客生物創始人兼CEO
曹以襯:青島百譜生物科技有限公司總經理
段德麟:中國科學院海洋研究所研究員
王 ?旭:北京大學現代農業研究院研究員
張立濤:中國科學院海洋研究所副研究員
方晶晶:SCIEX中國,生命科學研究市場開發經理
李天運:青島百譜生物科技有限公司質譜研發經理
時間? ? ? ? ? ? ? ? 會議環節
14:00~14:30 ?實驗室參觀
14:30~14:35 ?歡迎詞
14:35~15:05 ?從“廣篩”到“精量”:植物廣靶定量代謝組技術–解鎖植物代謝研究全新維度
15:05~15:35 ?SCIEX定量質譜驅動高覆蓋靶向代謝組學研究
15:35~15:45 ?產品發布儀式
15:45~16:30 ?主題討論會
16:30~17:00 ?新品煥新&互動贏好禮
為方便更多同仁參與,屆時將開啟線上同步直播。本次發布會特別為線上同仁打造 “專屬福利環節”,讓您在云端參會也能收獲滿滿、驚喜不斷!
歡迎各界人士關注“百邁客生物”視頻號,積極報名預約共赴這場植物代謝組學的學術盛宴!
]]>

文章標題:Acetyl-CoA metabolism maintains histone acetylation for syncytialization of human placental trophoblast stem cells
期刊名稱:Cell Stem Cell
影響因子:19.8
合作單位:中國科學院動物研究所
研究對象:人類妊娠早期胎盤樣本和人類滋養層干細胞(hTSCs)
研究方法:轉錄組、表觀組學和非靶向代謝組學等
百邁客生物為該研究提供了轉錄組和非靶向代謝組檢測和分析服務。
在妊娠期間,胎盤是連接母體和胎兒的重要瞬時器官,不斷向胎兒輸送氧氣、營養物質和代謝物,維持胎兒的正常生長發育。胎盤發育是一個復雜的過程,包括胚泡期單層胚滋養外胚層(TE)向致密、多核、多細胞和多層器官的轉變。在懷孕期間,胎盤和胎兒的營養分配對胎兒和母親的健康至關重要。然而,胎盤滋養細胞中營養物質代謝和分配的調控機制尚不清楚。
從北京大學第三醫院(中國北京)治療性終止健康妊娠的6-8周的人正常絨毛組織收集。術后1小時內,將組織浸泡在冰凍的DMEM/F12培養基中,進行原代細胞分離或組織固定。從新鮮人絨毛組織中分離到原代滋養細胞(CTBs和STBs)。將人絨毛組織倒搖3分鐘,通過100mm和38mm篩子,收集38mm篩子上殘留的STB。將殘留在100毫米屏幕上的絨毛組織浸泡在PBS中,修剪成2-3毫米的組織。然后,用0.25%的胰蛋白酶和DNase消化絨毛組織,在4℃,并通過75毫米篩子。離心收集細胞,在1.25%和2.5%牛血清白蛋白(BSA)中沉淀得到細胞滋養層細胞。
1.組織學分析——糖酵解酶水平在合胞滋養細胞中顯著降低
妊娠期間,STB是一種重要的胎盤滋養細胞,可介導代謝物交換,分泌多種激素,如人絨毛膜促性腺激素(hCG)、孕酮等。為了研究滋養細胞合胞過程中原代CTBs和STBs之間發生的代謝變化,該研究挖掘了之前人類妊娠早期胎盤的單細胞RNA測序(RNA-seq)數據。結果發現,在RNA水平上,原代CTBs中糖代謝和TCA循環的多個關鍵酶的表達高于STB。
通過免疫組織化學和免疫熒光染色在孕早期人類胎盤絨毛組織中,證實了許多關鍵的糖酵解酶,包括己糖激酶2 (HK2)、磷酸果糖激酶、血小板型(PFKP)、磷酸果糖激酶、肝型(PFKL)和乳酸脫氫酶A (LDHA),確實在CTBs中比體內STBs更廣泛地表達(圖1A)。通過實時qPCR和免疫印跡(圖1B)繪制關鍵代謝酶的變化。結果顯示,糖酵解酶,包括己糖激酶1 (HK1)、HK2、PFKP、PFKL、丙酮酸激酶M1 (PKM1)、LDHA和乳酸脫氫酶B (LDHB), CTBs均顯著高于STBs(圖1B和1C)。線粒體生物發生相關轉錄因子PGC1a和細胞色素氧化酶(COX) IV在STBs中高表達,而糖原代謝酶肝糖原磷酸化酶(PYGL)和糖原1 (GYG1)在CTBs中高于STBs(圖1C),與糖原的周期性酸-希夫(PAS)染色一致(圖1A)。在主要調控糖酵解酶的磷脂酰肌醇3-激酶(PI3K)-哺乳動物雷帕霉素靶蛋白(mTOR)通路中,CTBs中蛋白激酶B (AKT)、核糖體蛋白S6 (S6)和真核翻譯起始因子4E (4EBP1)的磷酸化水平顯著高于STBs(圖1C左)。這些結果表明,糖酵解和糖原溶解的糖代謝途徑在合胞滋養細胞中顯著減少,而OxPhos水平基本保持不變。

圖1-人類原始CTBs和STBs的代謝狀態
2.代謝組學分析——滋養細胞合胞化伴隨著代謝的重構
為了更詳細地驗證CTBs和STBs之間的代謝差異,對妊娠早期胎盤中的原代CTBs和STBs進行了代謝組學分析(圖2A)。相關熱圖、主成分分析(PCA)圖和代謝物豐度熱圖顯示,CTBs和STBs之間的代謝物存在顯著差異。CTBs中葡萄糖代謝相關代謝物豐度高,包括3-磷酸甘油酸(3-PG)、乳酸、丙酮酸、蘋果酸、a-酮戊二酸等。STBs中富含脂肪酸代謝和激素代謝相關產物,包括雌酮、膽固醇、亞油酸等(圖2B)。CTBs和STBs的前20位代謝物也有顯著差異。代謝物MSEA集富集分析(圖2C)和KEGG代謝物分析顯示CTBs主要富集于葡萄糖代謝和氨基酸代謝,包括Warburg效應、色氨酸、甘氨酸和絲氨酸代謝、糖酵解等。相比之下,STBs主要富集脂肪酸代謝和類固醇激素合成相關通路,包括α -亞麻酸和亞油酸代謝、雌酮代謝、花生四烯酸代謝、類固醇生物合成等。
此外,將代謝組學結果與葡萄糖代謝的蛋白質分析結果聯合分析(圖2D)。結果表明,CTBs和STBs代謝產物的變化與代謝酶蛋白的變化一致。CTBs的糖酵解代謝物、3-PG、丙酮酸和乳酸明顯高于STBs(圖2D)。CTBs中TCA循環中的檸檬酸、α-酮戊二酸和蘋果酸明顯高于STBs(圖2D)。相比之下,STBs體內類固醇激素代謝的相關關鍵代謝物較高,這與STBs合成激素的特點相一致。綜上所述,CTBs和STBs之間的代謝程序存在明顯差異。在高度增殖和未分化的CTBs中,葡萄糖代謝和氨基酸代謝更為活躍,而在有絲分裂后和分化的STBs中,脂肪酸代謝和類固醇激素代謝更為活躍。

圖2-人原代CTBs和STBs的非靶向代謝組學分析
3.代謝組分析——葡萄糖代謝的基礎水平是滋養細胞合胞的必要條件
根據代謝組學和蛋白組學分析結果,葡萄糖代謝水平在合胞后急劇下降到基礎水平。許多研究表明,葡萄糖代謝的變化對決定干細胞的命運和分化很重要,因此,研究推測糖代謝與滋養細胞合胞之間存在重要聯系。為了在體外微擾實驗中模擬滋養細胞的合胞過程,該研究使用了hTSC培養和融合分化系統。再次檢測hTSCs在中誘導合胞前和合胞過程中相關代謝酶的蛋白和RNA水平。糖酵解的結論與原代CTBs和STBs的結果基本一致。
為了探索葡萄糖代謝對滋養細胞合胞過程的功能影響,該研究分別在未分化的hTSCs(在滋養細胞干細胞(TS)培養基中培養4天,TS- d4)和分化的STB(在STB培養基中培養4天,STB- d4)中使用HK抑制劑2-脫氧葡萄糖(2-DG)和LDH抑制劑oxamate抑制糖酵解的上游和下游速率限制步驟(圖3A)。由于糖代謝降低與STB分化相關(圖1、2),研究者最初假設糖酵解抑制應該促進合胞化。但是結果發現,與未分化的hTSCs相比,僅保留基礎糖酵解水平的合胞hTSCs對糖酵解的減少比較敏感。

圖3-基礎糖酵解對于人類TSCs的合胞轉化至關重要
4.代謝組分析——糖酵解代謝產物的較佳水平促進滋養細胞合胞
接下來,該研究使用糖酵解的關鍵代謝物,包括葡萄糖、丙酮酸和醋酸酯(用于補充細胞內乙酰輔酶A),來探索糖酵解代謝物對人滋養細胞合胞的影響。結果表明,隨著葡萄糖濃度的增加,從5到18 mM,STB-D4細胞中HCGB以及SDC1、ERVFRD1、ERVW1、GCM1、PSG4和CYP19A1的表達逐漸增強,滋養細胞的合胞化程度逐漸增強(圖3D)。丙酮酸處理在未分化的hTSCs和正在合胞的hTSCs中導致了類似的反應,即一定濃度范圍內(10 mM)的代謝物增加了滋養細胞的合胞 (圖3E)。同樣,在一定濃度范圍內,乙酸也顯著促進滋養細胞合胞(圖3F),在超高濃度下,HCGB、GCM1、PSG4和CYP19A1被顯著抑制(圖3)。特別指出,糖酵解藥物和中間體對HTSCs和STBs的合胞有特異性作用,但對未分化的htsc沒有特異性作用。因此,涉及STB特異性信號傳導,并且調節滋養層合胞化可能需要較佳水平的基礎糖酵解物質。

圖4-糖酵解乙酰輔酶A是TSCs合胞所需的關鍵代謝物
5.代謝組分析——乙酰化的代謝調節對合胞作用至關重要
實驗表明,糖酵解產物顯著抑制hTSCs的合胞,而最佳水平的乙酸促進hTSCs的合胞。為了反向確定最關鍵的糖酵解代謝物,該研究探索了最下游的糖酵解代謝物乙酰輔酶A(由乙酸補充)是否可以挽救糖酵解抑制對合胞的影響。結果顯示,在糖酵解抑制的情況下,乙酸能顯著恢復STB-D4中HCGB和SDC1的表達水平(圖4A-4C)。融合指數結果證實了合胞恢復以劑量依賴的方式(圖4D和4E)。然而,當乙酸濃度過度增加到50 mM時,STBs細胞形態發生異常,引發細胞死亡,HCGB和SDC1基因表達無法檢測(圖4A)。因此使用10mM醋酸鹽用于所有其他實驗。實驗顯示,低濃度20 mM的草酸鹽對活死染色、線粒體膜電位、總蛋白、ADP/ATP比率和NAD+/NADH比率的影響不顯著或輕微,但通過靶向LC-MS/MS檢測,乙酰輔酶A顯著降低。10 mM醋酸鹽可使其乙酰輔酶A水平恢復正常。這些結果表明,乙酰輔酶A可能對滋養細胞的合胞作用很重要。
有報道稱,由于乙酰轉移酶具有較高的Km,細胞內乙酰輔酶a可以作為蛋白質乙酰化的底物并直接調控蛋白質乙酰化,從而直接影響細胞的命運。例如,組蛋白乙酰化的代謝調節對染色質狀態轉變至關重要。為了廣泛調查蛋白質乙酰化的變化,該研究對乙酰賴氨酸進行了免疫印跡特異性檢測。結果顯示,未分化hTSCs的乙酰賴氨酸水平對草酸鹽相對不敏感,對乙酸補充也不敏感,除了在- 55 kDa處可能代表乙酰微管蛋白的條帶(圖4F、4G)。相反,分化STBs的乙酰賴氨酸水平被草酸鹽顯著降低,并被乙酸鹽顯著恢復(圖4F和4G)。特別是,組蛋白(H3和H4, 10-15 kDa)乙酰化對乙酸表現出明顯的劑量依賴性反應。因此,該研究檢測了乙酸鹽和草酸鹽處理的TS-D4和STB-D4細胞中乙酰基- h3和乙酰基- h4k16的水平。結果顯示,草酸鹽對未分化hTSCs中H3和H4K16的乙酰化水平影響不大,但顯著抑制STB-D4中H3和H4K16的乙酰化水平(圖4H、4I)。在草酸處理的細胞中分別添加5和10 mM乙酸時,H4K16乙酰化水平在劑量依賴性反應中表現出最大的梯度,而H3乙酰化水平,包括H3K9/18/27乙酰化,在劑量依賴性反應中表現出較平緩的梯度(圖4H、4I和SGM – s5p)。
綜上所述,該研究表明,適當的乙酸濃度可以緩解糖酵解抑制對合胞的抑制。草酸鹽的糖酵解抑制降低了STBs糖酵解乙酰輔酶A的基礎產生,從而降低了滋養細胞合胞過程中組蛋白乙酰化的水平。因此,適當補充乙酸可以恢復細胞內乙酰輔酶A的水平,從而恢復正常的蛋白質乙酰化,特別是組蛋白H3和H4乙酰化,并恢復正常的滋養細胞合胞(圖4J)。因此,糖酵解乙酰輔酶A的基礎水平對于調節組蛋白乙酰化和hTSC合胞是至關重要的。

圖5-RNA-seq顯示糖酵解衍生的乙酰輔酶A是促進滋養細胞合胞程序所必需的,在合胞過程中,低水平的糖酵解衍生的乙酰輔酶A會觸發滋養細胞的代謝和炎癥應激反應
6.轉錄組分析——RNA-seq顯示糖酵解乙酰輔酶A代謝是促進滋養細胞合胞程序所必需的
為了進一步表征乙酸如何在滋養細胞合胞過程中恢復糖酵解抑制的作用,作者對經草酸和乙酸處理的TS-D4和STB-D4細胞進行了RNA測序(N = 8個樣本)。相關熱圖分析和主成分分析顯示,經草酸和乙酸處理的未分化hTSCs的基因表達變化無明顯變化(圖5A)。然而,對于正常的STB-D4 (STB_c),草酸處理(STB_ox)導致轉錄組發生劇烈變化,而5和10 mM乙酸處理(STB_oa5, STB_oa10)逐漸使轉錄組恢復正常(圖5A)。基因集富集分析(GSEA)進一步證實未分化的hTSCs被富集用于糖酵解,而分化的STBs則被富集用于類固醇激素基因(圖5B)。這些轉錄組結果再次強調了未分化的hTSCs對草酸或乙酸鹽不敏感,而分化的STBs對草酸抑制和乙酸鹽拯救高度敏感。
根據翻轉圖(圖5C),被草酸 (STB_ox)特異性下調但被乙酸(STB_oa5或STB_oa10)逆轉的基因表現出強烈的劑量依賴性。合胞化相關基因,包括SDC1、CGB同源物、ERVW1、ERVFRD1和GCM1,在草酸抑制的STB-D4中以劑量依賴的方式被5和10 mM乙酸部分恢復(圖5D)。
火山圖顯示,在STB_ox中,CGB同源基因、ERVFRD1、ERVW1、SDC1、CYP17A1等合胞程序基因顯著降低,而JUN、腫瘤壞死因子(TNF)、FAS、TP53等炎癥相關基因顯著上調。相反,補充乙酸導致SDC1、CGB同源物、ESRRB、CYP17A1、PSG11等合胞程序基因上調,表明STBs功能逐漸恢復。
接下來,研究者使用短時間序列表達挖掘(STEM)技術分析具有相同趨勢的基因簇。圖中顯示了胎盤cAMP信號、激素代謝和ERK/MAPK通路中一些已知的基因(圖5E)。
此外,GSEA進一步顯示,與未分化的HTSC (TS_c)相比,STB_c中特異性富集了糖皮質激素、激素生物合成、抗菌肽和胺源性激素等四個基因集(圖5F)。此外,與單獨處理STB_ox的STB_c和STB_d4 (STB_oa5和STB_oa10)相比,這四個基因組在同時處理的STB_c和STB_d4中也顯著富集。
綜上所述,這些結果表明糖酵解衍生的乙酰輔酶A對于滋養細胞合胞程序和STB核心功能的適當激活是必要的。與hTSC程序相比,研究發現整個STBs分化程序對糖酵解乙酰輔酶A代謝異常敏感。
7.轉錄組分析——滋養細胞感知葡萄糖衍生的乙酰輔酶A的缺乏,從而在合胞過程中觸發代謝和炎癥應激反應
該研究將被乙酸拯救并下調的基因定義為“下調”。該集合包括三個集群,U17(145個基因)、U20(614個基因)和U18(288個基因)。這些基因都與細胞損傷和炎癥應激反應有關。其中許多是眾所周知的抗氧化、自噬、線粒體、DNA損傷和NF-kB特征中的基因(圖5G)。
GSEA進一步顯示,與STB_c相比,未分化的TS_c特異性地富集了hippop – yap /Taz-TEAD特征(圖5H)。這些結果表明,草酸阻斷了STB的合胞,而這種分化阻斷被乙酸修復。此外,與正常STB_c和經草酸和乙酸(STB_oa5和STB_oa10)處理的STB-D4相比,涉及DNA損傷、白素-6 (IL-6)信號、炎癥反應和TNF信號的四種GSEA特征均在STB_ox中特異性富集(圖5I)。
綜上所述,在滋養細胞合胞過程中,葡萄糖衍生的乙酰輔酶A的基礎水平是防止代謝應激和炎癥應激反應所必需的。研究發現STBs在分化和合胞過程中對糖酵解乙酰輔酶A應激高度敏感,并引發炎癥反應。
8.表觀組分析——組蛋白H3K9/18/27和H4K16乙酰化對葡萄糖的乙酰化調控敏感,直接調控合胞化和代謝基因
鑒于滋養細胞可以感知葡萄糖衍生的乙酰輔酶A的缺乏,從而終止合胞程序并觸發代謝應激誘導的炎癥反應信號,研究者研究了組蛋白乙酰化是否可能是這種現象背后的機制之一。該研究使用靶下切割和標記(CUT&Tag)技術,對TSCs、STB-D1、STB-D4、STB-D4ox和STB-D4-oa10樣品和acetyl-H3K9、acetyl-H3K18、acetyl-H3K27和acetyl-H4K16抗體的數據顯示,這四種組蛋白乙酰化修飾在合胞過程中表現出明顯的變化。
此外,對于每個組蛋白修飾,在TSCs, STB-D1和STB-D4的基因啟動子區域進行了Venn交叉分析。僅在STB組中發現的基因(TS組中沒有)被定義為STBUP,表明這些基因啟動子在合胞過程中具有相關的組蛋白乙酰化修飾(圖6A-6D)。同樣,對STB-D4、STB-D4-ox和STB-D4-oa10進行了Venn交叉分析。僅在STB-D4和STB-D4-oa10中發現的基因被定義為STBres,而在STB-D4-ox中沒有發現,這表明這些基因啟動子具有由糖酵解乙酰輔酶A代謝調節的組蛋白修飾(圖6A-6D)。所有四種組蛋白乙酰化的STBUP組的交集被定義為STBUP-all。同樣,所有四種組蛋白乙酰化的STBres基團的交集(圖6E)被定義為STBres-all。
為了研究STBUP-al中哪些基因對合胞至關重要,該研究交叉了STBUP-all和STBres-all數據集。確定了2834個基因位點,其中TSS上的這四個組蛋白乙酰化位點都被乙酸拯救并與合胞有關(圖6E),包括眾所周知的合胞標記SDC1、CGB和ERVFRD1(圖6I)。重要的是,已知CGB參與激素合成/分泌,與TSCs和STB-D1相比,在STB-D4中,CGB在其TSS啟動子區域表現出顯著的乙酰- h3k27(圖6I)。GO和KEGG通路分析顯示,這些基因主要參與有絲分裂控制、合胞起始和STB功能,包括MAPK通路、cAMP通路、胎盤發育、激素合成/分泌、糖、氨基酸和脂肪酸運輸(圖6G、6J-6L)。其中,已知CYP19A1參與激素合成/分泌,在STB-D4的TSS啟動子區域顯示顯著的乙酰- h3k27(圖6J)。胎盤發育的另一個關鍵基因GCM1在STB-D1和STB-D4的TSS啟動子區域均顯示出顯著的乙酰- h3k9(圖6K)。cAMP應答元件結合蛋白1 (CREB1)參與“cAMP應答元件結合”,在STB-D1和STB-D4的TSS啟動子區域表現出顯著的乙酰- h4k16(圖6L)。重要的是,草酸處理明顯導致所有這些基因的TSS啟動子區域組蛋白乙酰化顯著降低,而乙酸補充部分恢復了組蛋白乙酰化水平(圖6I-6L)。
為了探究被乙酸拯救的組蛋白乙酰化是否也導致轉錄拯救,該研究比較了來自CUT&Tag的STBres-all集與來自RNA-seq的拯救基因集(包括U5、U7和U8,共660個基因)。分析結果顯示,這兩個基因集共有323個基因(圖6F),即表觀遺傳和轉錄獲救。對這些表觀遺傳和轉錄獲救的基因進行GO和KEGG通路分析的結果與RNA-seq分析的結果相似,在cAMP和MAPK信號、激素合成/分泌以及其他合胞途徑中的跨膜物質運輸中都有顯著的富集(圖6H、6M、6N)。
值得注意的是,在“活性跨膜轉運體活性”途徑中,草酸處理后,SLC30A3在其TSS啟動子區域乙酰基h3k18顯著降低,而乙酸補充能夠部分恢復其乙酰基h3k18(圖6M)。在“類固醇激素應答”途徑中,經草酸鹽處理后,ESRRB在其TSS啟動子區域乙酰h4k16顯著降低,部分被醋酸鹽挽救(圖6N)。
綜上所述,由乙酰輔酶A調節的組蛋白乙酰化對于滋養細胞合胞程序和STB核心功能的適當激活是必要的。與TS細胞對草酸和乙酸不敏感相比,研究發現STB分化程序對乙酰輔酶A代謝異常敏感。

圖6-乙酰基- h3k9、乙酰基- h3k18、乙酰基- h3k27和乙酰基- h4k16在TSC合胞過程中的動態變化
9.轉錄組和表觀組分析——體內短暫的糖酵解乙酰輔酶a缺乏會永久性地損害滋養細胞的合胞作用
人TSCs可以注射到免疫缺陷的NOD-SCID小鼠體內,以評估其體內分化潛力。因此,該研究使用這種異種移植模型來探索糖酵解乙酰輔酶A短暫缺乏對人滋養細胞體內合胞的永久表觀遺傳影響。
小鼠皮下注射對照hTSCs (TS-ctrl)、氨基甲酸酯處理hTSCs (TS-ox)和氨基甲酸酯和醋酸酯短暫處理hTSCs (TS-oa10)。隨意喂養NOD-SCID小鼠生長7天后,檢測血清hCG,并對移植的滋養細胞進行免疫熒光和免疫組織化學染色,以確定體內滋養細胞的合胞程度(圖7A)。然而,結果顯示STBs分泌到TS-ox小鼠血清中的hCG明顯低于TS – control小鼠(圖7B)。這與靶向數據一致,顯示在STB分化的第1天,乙酰輔酶A已經開始上升,轉錄和表觀基因組數據顯示,STB分化的許多標記已經在第1天開始上升。因此,滋養層細胞在分化24小時內就已經進入了STB的命運,在滋養層分化的這個時間點干擾糖酵解代謝可能對細胞命運產生不可逆的影響,但不影響細胞活力。
為了證明這一點,該研究對每個滋養細胞移植物進行組織染色。用KRT7和CDH1鑒定滋養細胞,用SDC1和b-hCG鑒定哪些細胞是STB。結果顯示,TS- control小鼠的滋養細胞移植物在體內能夠正常分化并形成多核STB(圖7C、7D)。然而,TS-ox小鼠體內形成的多核STB較少,盡管草酸處理的細胞仍然可以存活并在免疫缺陷小鼠中生長形成大的KRT7+/CDH1+移植物(圖7E, 7F)。
在TS-oa10小鼠中,多核STB的形成與TS – control小鼠相似,表明短暫的乙酸處理恢復了hTSCs的合胞能力(圖7G、7H)。此外,該研究計算了STB面積與移植物總面積的比值,結果表明,草酸處理的hTSCs在體內的合胞能力永久性降低。與TS -ox組相比,TS-oa10組經短暫乙酸處理后,體內STBs面積完全恢復(圖7I和7J)。同時,與TS-ox組相比,STBs向TS-oa10小鼠血清中分泌的hCG也顯著增加(圖7B)。

RNA-seq結果表明,糖酵解乙酰輔酶A缺乏引起體外STBs的促炎應激反應。因此,該研究檢查了它們在體內的炎癥狀態。結果顯示,與TS – control小鼠和TS-oa10小鼠相比,TS-ox小鼠滋養細胞移植物周圍有更多的自然殺傷細胞(NK)細胞(天然細胞毒性觸發受體1,NCR1)和巨噬細胞(F4/80, CD163)募集。這些結果表明,由短暫的糖酵解缺陷引起的異常的促炎滋養細胞命運可以通過醋酸處理永久地恢復。
鑒于人滋養細胞移植物在體內不再暴露于草酸或乙酸,研究結果表明,由表觀遺傳決定的STBs分化潛力可能會因糖酵解乙酰輔酶A代謝的短暫缺乏而永久中斷,由此產生的異常的促炎滋養細胞可以通過短暫的醋酸補充而在功能上得到恢復。
該研究通過代謝組學、轉錄組學、蛋白組學和表觀組學等技術,使用人類妊娠早期胎盤樣本和人類滋養層干細胞(hTSCs)發現,葡萄糖代謝在hTSCs和細胞滋養層細胞中高度活躍,但在合胞過程中,葡萄糖代謝降低到基礎水平,仍然是補充乙酰輔酶A和分化潛力所必需的。補充乙酸可以通過補充乙酰輔酶A和維持組蛋白乙酰化來挽救糖酵解缺乏的合胞滋養細胞融合,從而挽救合胞基因的激活。即使是短暫的糖酵解缺乏也會永久性地抑制分化潛能和促進炎癥,在體內也可以通過短暫補充乙酸永久地挽救。這些結果表明,hTSCs在合胞過程中僅保留基礎糖酵解乙酰輔酶A代謝,通過營養反應性組蛋白乙酰化調節細胞命運,這對我們理解胎盤和胎兒營養之間的平衡具有重要意義。
1. 當hTSCs和CTBs分化為STBs時,它們的糖酵解通量降低。
2. 分化的HTSC保留基礎糖酵解,對糖酵解缺乏變得敏感。
3. 分化的hTSCs通過組蛋白乙酰化在合胞過程中感知乙酰輔酶A。
4.短暫的糖酵解應激永久性地降低hTSCs的分化潛能。
]]>
文章標題:Chromosome-scale genome, together with transcriptome and metabolome, provides insights into the evolution and anthocyanin biosynthesis of?Rubus rosaefolius Sm.?(Rosaceae)
期刊名稱:Horticulture Research
影響因子:7.6
合作單位:凱里學院和貴州植物園
研究對象:薔薇科空心藨
研究方法:基因組、轉錄組和植物廣靶代謝組學等
百邁客生物為該研究提供了基因組、轉錄組和植物廣靶代謝組檢測和分析服務。
薔薇屬(薔薇科)有12個亞屬,700余種,除南極洲外分布在世界各地。薔薇屬植物的組織,尤其是成熟的漿果,通常含有多種促進健康的化合物(如花青素、酚酸和類黃酮)和營養物質(如纖維素、維生素E和天然色素)。自古以來,它們就被用作藥物和水果。
空心藨(Rubus rosifolius Sm.)是一種天然生長在東亞、東南亞、南亞、大洋洲、非洲和馬達加斯加的紅色覆盆子。空心藨的枝、葉、根長期以來被用于止咳、祛風、止血、濕。成熟的薔薇果實含有豐富的花青素、酚類物質、三萜、甾醇等生物活性成分。因此,它具有多種藥理作用,包括抗氧化、鎮痛、抗菌、防腐、抗增殖、抗癌、利尿、降壓等。此外,成熟的薔薇果實具有獨特的酸甜味道,顏色鮮艷,很有吸引力。綜上所述,薔薇是一種吸引人的野果,具有很高的商業價值,因此具有很大的馴化和栽培潛力。
該研究以貴州植物園覆盆子種質苗圃種植的一株薔薇為研究對象,進行了基因組、轉錄組和代謝組實驗。對幼葉進行基因組DNA提取分析。幼葉、幼莖、幼根、花萼、花瓣、雄蕊和3個幼果,發育天數分別為5、8和11天,三種著色漿果,分別發育14、17和19天,對發育21、23和25天的3個成熟果實進行RNA提取,進行轉錄組分析。同樣的漿果也被用來進行植物廣靶代謝組分析。
1.基因組分析——基因組草圖組裝與注釋
該研究首先構建并測序了空心藨的短讀文庫(350 bp),獲得了59.76 Gb的數據和97.53%的合格reads (>Q20)。K-mer分析,估計空心藨基因組大小為220.50 Mb,重復率為33.31%,雜合度為1.64%。然后,構建空心藨長讀文庫并進行測序,組裝成241.76 Mb的基因組草圖,由141個連續序列(contigs)組成(N50 = 15.36 Mb)。最后,構建并測序了空心藨的Hi-C文庫,獲得了> 1.65億個讀對。
利用這些有效的互作讀對對初步的基因組草圖進行校正,得到了總共221.95 Mb的最終草圖,包含138個contigs (N50 = 16.13 Mb)。這些contigs進一步聚集成131個支架(N50 = 30.0 Mb)。70個支架共219.02 Mb,占總組裝序列的98.68%,占估計基因組大小的99.33%,錨定在7條假染色體上。其中,20個支架(211.23 Mb)的位置和方向被確定,占錨定序列的96.44%。通過blast of essential genes (CEG)數據庫和BUSCO數據庫來估計該草圖基因組的組裝完整性,共鑒定出458個CEG的456個同源物(99.56%)和1614個BUSCO的1590個同源物(98.51%)。這些結果表明,組裝的空心藨基因組草圖具有較高的完整性。綜合各組組或支架的組裝完整性、無間隙度、N50等指標,該研究組裝的草圖基因組超過了其他覆盆子物種。
從空心藨基因組組裝草圖中,通過從頭算預測、同源性預測和RNA-seq預測相結合,共鑒定出28067個蛋白編碼基因,在這些預測的基因中,1584個(98.14%)與BUSCOs(1614)同源,26173個(93.25%)可以被注釋為具有生物學或分子功能,這些帶注釋的轉座元件和蛋白質編碼基因不均勻地分布在紅花的染色體上(圖1)。從紅花草圖基因組中鑒定了1500多個RNA基因,主要是rRNA和tRNA基因,以及一些假基因。

圖1-基因組分析
2.基因組分析——薔薇與其他9種植物的系統發育關系及基因家族分析
為了研究空心藨的進化關系,該研究分析比較了玫瑰、黃連、鵝掌楸、水稻、擬南芥、月季、花薔薇、桃李、中國栗、西方栗的基因集數據。系統發育樹顯示,薔薇科出現在白堊紀,覆盆子出現在古近紀,空心藨和另一種紅覆盆子R. chingii在1728-3644萬年前(mya)從最近的共同祖先分化而來,隨后空心藨的211個基因家族和36個基因家族分別擴張和收縮(圖2),這些擴展家族中的基因主要富集于代謝途徑,如“DNA聚合酶”、“光合作用”、“晝夜節律”和“半乳糖代謝”。

圖2-基因組進化樹分析
3.基因組分析——基因組共線性分析和重復事件分析
所有的植物都有一個或遠或近的共同祖先。通過共線性分析發現:在1號染色體的一端和其他6條染色體上,發現了完整且平行的同源物,但在1號染色體的另一端缺失了大同源塊(圖3a)。這些結果表明,空心藨和紅覆盆子之間沒有發生大的染色體變異,但在空心藨和紅覆盆子基因組草圖的組裝或注釋中隱藏了錯誤。該研究發現,空心藨和紅覆盆子之間所有染色體的共線性幾乎是完整的(圖3b),這表明上述1號染色體的組裝或注釋錯誤可能在空心藨中沒有發生。當忽略單倍型中支架組裝方向的干擾時,1、2、3、5、7號染色體幾乎完全平行共線性,4號染色體可能發生較大反轉,6號染色體可能發生3次或更少的反轉(圖3b)。這些發現表明,隨著親緣關系距離的增加,復雜染色體變異的數量增加。
全基因組復制(WGD)分析發現。薔薇科其他成員與西方薔薇科同屬的共同祖先曾發生過WGD事件。

圖3-共線性分析?

圖4-重復事件分析
4.代謝組分析——漿果中花青素及其積累動態
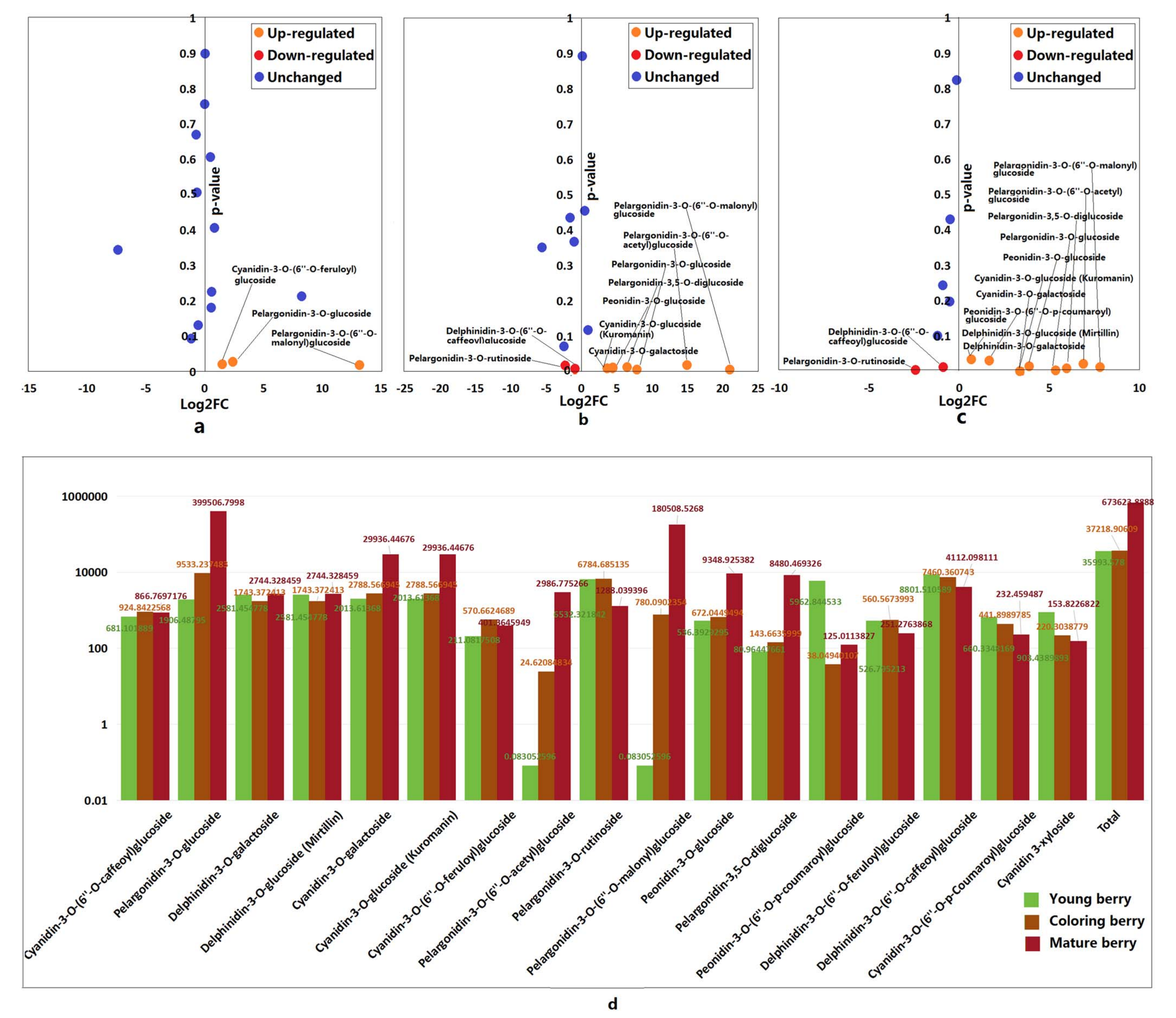
已有研究表明,空心藨漿果中含有豐富的花青素,特別是矢車菊素和天竺葵素。該研究利用植物廣靶代謝組技術鑒定到1330種代謝物,包括121種氨基酸和衍生物、248種酚酸、241種黃酮類、78種生物堿和151種萜類和有機酸。在黃酮類化合物中,有17種花青素在9種不同時期的漿果中檢測到,幼齡期(N1)、著色期(N2)和成熟期(N3)分別有3個、3個和3個。在N1向N2(發育期)過渡期間,總花青素和大多數種類花青素的濃度保持相對穩定,只有天竺葵素-3- O-葡萄糖苷、天竺葵素-3-木糖苷和天竺葵素-3-O -(6’’- O -丙二酰基)葡萄糖苷繼續增加(圖5),N2 ~ N3(發育階段)5種花青素(天竺葵素-3-O- (6 ’’-O-乙酰基)糖苷和芍藥色素-3-O-糖苷)濃度保持相對穩定,2種花青素(天竺葵素-3-O-蘆丁苷和飛燕草素- 3-O-(6’’-O-咖啡酰)糖苷)濃度略有下降,此外,總花青素和其他10種花青素均呈上升趨勢。8種(如天竺葵素-3- O -半乳糖苷和天竺葵素-3- O (6’’-O -乙酰基)葡萄糖苷)略有增加,2種(天竺葵素-3- O -(6’’-O-丙二酰基)葡萄糖苷)急劇增加(圖5),這些結果表明,空心藨花青素的產生主要發生在成熟階段,其主要貢獻物質是紅色色素天竺葵素3-O -葡萄糖苷和天竺葵素3- O -(6’’ -O-丙二酰基)?葡萄糖苷。

圖5-不同時期漿果花青素含量差異顯著
5.轉錄組分析——花青素生物合成相關的結構基因
轉錄組共鑒定出23997個基因在空心藨果實中不同水平表達。根據KEGG注釋,共鑒定出11個結構基因,其中花青素3-O-葡萄糖基轉移酶(RrBZ1)基因6個,分屬于5個家族,2個花青素3-O-葡萄糖苷2’’-O-木糖基轉移酶(RrUGT79B1)基因屬于一個家族,1個花青素3- O-葡萄糖苷5-O-葡萄糖基轉移酶(RrUGT75C1)基因和2個花青素3-O-葡萄糖苷6’-O-酰基轉移酶(Rr3AT)基因屬于兩個家族,參與了“花青素生物合成”途徑。此外,該研究還鑒定出22個結構基因,其中查爾酮異構酶(RrCHI)基因10個,屬于6個家族,5個查爾酮合成酶(RrCHS)基因,屬于4個家族,4個雙功能flavanol 4-還原酶/flavanone 4-還原酶(RrDFR)基因,分屬于3個家族,一個類黃酮3’-單加氧酶(RrCYP75B1)基因,一個柚皮素3-雙加氧酶(RrF3H)基因,和一個花青素合成酶(RrANS)基因,參與“類黃酮生物合成”,在花青素生物合成中起著至關重要的上游作用。在這33個結構基因中,Rro07G000520.1 (RrBZ1)、Rro04G036130.1 (RrBZ1)、Rro01G021400.1 (RrF3H)、Rro07G031240.1 (RrDFR)、Rro04G035990.1 (RrCHS)、Rro04G036130.1 (RrCHS)、Rro07G006550.1 (RrCHI)和Rro05G014010.1 (RrANS)在漿果組織中表達量相對較高(圖6)。該研究推測這8個基因是參與空心藨花青素生物合成的主要基因。共有33個結構基因在空心藨的花、葉和根組織中表達,但沒有一個在漿果中表達。這一發現表明,花青素代謝存在于空心藨的各個組織中,并不是單獨存在于果實中。

圖6-花青素生物合成相關結構基因的表達與調控
6.聯合分析——花青素生物合成的基因調控
為了探索空心藨紅漿果中花青素生物合成調控的分子機制,該研究對空心藨紅漿果幼齡期和成熟期的轉錄組和代謝組進行了相關性分析。在成熟漿果中發現的主要花青素——芍藥苷-3-O-葡萄糖苷和芍藥苷-3-O-(6’’-O-丙二酰基)葡萄糖苷被鑒定為顯著差異積累代謝產物(DAMs),其中11個結構基因被發現為差異表達基因(DEGs)。其中,Rro07G000520.1 (RrBZ1)、rro07g035990.1和rro07g036130.1 (RrCHS)、rro07g06550.1 (RrCHI)、rro07g021400.1 (RrF3H)、Rro07G031240.1 (RrDFR)和Rro05G014010.1 (RrANS)與芍藥苷-3-O-葡萄糖苷積累呈正相關,而Rro07g033620.1、Rro07g024760.1 (RrBZ1)、Rro07G009270.1 (RrUGT75C1)、Rro04G021540.1 (RrUGT79B1)與這兩種物質呈負相關(圖6b)。編碼屬于MYB、bHLH、AP2、bZIP、NAC和TCP家族轉錄因子的幾個DEGs的表達與上述一個或多個結構基因和兩個DEGs呈顯著正相關或負相關(圖6b)。這些發現表明轉錄因子廣泛參與了空心藨花青素生物合成的調控。通過蛋白-蛋白相互作用(PPI)分析,該研究發現Rro4G033620蛋白(RrBZ1)與三甲基鳥苷合成酶1 (RrTGS1)直接相互作用,Rro5G003920蛋白(RrBZ1)直接與鐵氧還蛋白C1 (RrFDX1)、CCAAT結合轉錄因子(RrNFYA)、谷氨酸合成酶1 (RrGLU1)和組蛋白樣轉錄因子(RrCBF/NF-Y)相互作用,Rro1G021400蛋白(RrF3H)直接與RrFDR和RrANR相互作用(圖6c)。上述結果表明,空心藨花青素的合成受RNA甲基化、結構基因編碼蛋白和轉錄因子的相互作用調控。
該研究獲得了一個高質量的染色體水平基因組草圖,包含35.7%的重復序列和28067個蛋白質編碼基因。追蹤了薔薇科譜系特異性WGD事件,產生5090個目前可檢測的dgps,其中大多數進行了純化選擇。空心藨成熟果實花青素的積累主要是由芍藥苷-3-O-葡萄糖苷和芍藥苷-3-O-(6’’-O-丙二酰基)葡萄糖苷引起的。該研究發現了許多與花青素生物合成有關的結構基因,它們的表達可能受到轉錄因子和結構基因編碼的RNA甲基化和蛋白質相互作用等遺傳機制的調控。研究結果可為空心藨及其他薔薇屬植物的定向馴化和育種提供參考。
]]>
文章標題:Postharvest quality and metabolism changes of daylily flower buds treated with hydrogen sulfide during storage
期刊名稱:Postharvest Biology and Technology
影響因子:7.0
發表單位:山西農業大學和湖南農業大學
研究對象:黃花菜
研究方法:生理指標、植物廣靶代謝組學等
百邁客生物為本研究提供了植物廣靶代謝組檢測和分析服務。
在黃花菜中,花蕾是營養物質的良好來源,含有大量的生物活性化合物,但在收獲后會變質,這限制了黃花菜的口感和消費者的滿意度。硫化氫(H2S)被認為是一種重要的氣體信號分子,可以延長水果和蔬菜的采后新鮮度。先前有研究表明,H2S通過減輕脂質過氧化和增加抗氧化酶活性來延長黃花菜采后壽命。然而,目前對H2S延緩黃花菜衰老的研究還停留在生理層面。H2S在黃花菜花蕾采后貯藏中的作用機制有待進一步研究。本研究旨在研究H2S對黃花菜采后品質及貯藏過程中花蕾代謝變化的影響。
本研究選用黃花菜(萱草)“大同黃花”,產于中國山西省大同市云州區。花蕾是在商業成熟前采摘的。將剛采收的黃花菜花蕾在4℃預冷后,在4 h內立即運至實驗室。花蕾顏色、形狀、大小均勻,無物理損傷,分為7組。將每組黃花菜芽(200 g)分別置于含有200 mL蒸餾水、0.8、1.6、2.4、3.2、4.0、4.8 mM NaHS溶液(H2S供體)的干燥器中。干燥劑保存于4℃,相對濕度85% ~ 95%。測定了黃花菜的失重率、開花率、腐爛率和良花率,初步評價了黃花菜的品質。
采后黃花菜T組選擇最佳H2S處理濃度,對照(CK組)以蒸餾水處理。連續處理6 d,每24 h更換一次處理液。從第0 d開始收集樣品進行比較。蒸餾水處理的樣品記錄為CK0-6,H2S處理的樣品記錄為T1-6,每24 h一次。每次處理三次。CK0、CK6、T6進行代謝組檢測。
?1.生理分析——H2S抑制黃花菜貯藏過程中的失重、開花和腐爛
黃花菜在貯藏過程中,由于呼吸和蒸騰作用,水分和營養物質不斷被消耗。結果表明,隨著貯藏時間的延長,CK組表現為嚴重失重,H2S處理緩解了黃花菜的失重,尤其是3.2 mM NaHS緩解效果最大。H2S處理能不同程度地延遲了黃花菜的開花,并能能較好地維持黃花菜的品質。

圖1-H2S處理呈劑量依賴性地延緩了黃花菜花蕾品質退化
2.生理分析——H2S對黃花菜MDA和H2O2含量有抑制作用
對比3.2 mM NaHS處理和未處理的黃花菜MDA含量,結果顯示,貯藏6 d內,CK和H2S處理組MDA含量均持續升高。貯藏4 d后,H2S處理顯著抑制了MDA含量的增加。H2S處理的黃花菜在貯藏過程中H2O2的產生被阻斷。

圖2- H2S對黃花菜貯藏期間氧化應激的影響
3.生理分析——H2S緩解了TP含量的下降,維持了黃花菜的抗氧化能力
在CK和H2S處理組中,TP含量均隨貯藏時間的延長而下降。H2S處理減緩了TP含量的下降,且從第3 d開始出現顯著差異,說明H2S起到了阻斷蛋白的作用。H2S還改變了黃花菜的抗氧化系統。在整個貯藏期內,H2S處理組采后黃花菜GSH含量顯著高于CK組。黃花菜SOD活性呈下降趨勢,而H2S在第2 d開始顯著緩解了這種下降趨勢,維持在高于CK組的水平。CAT活動結果表明,H2S處理組CAT活性活性顯著高于對照。

圖3-H2S對0 ~ 6 d黃花菜營養物質及抗氧化系統的影響
4.代謝組分析——黃花菜貯藏過程中代謝物分析
為了進一步研究H2S對黃花菜貯藏過程中品質的調控機制,利用植物廣靶代謝組學方法分析了NaHS處理后黃花菜代謝產物的變化。共鑒定了910種代謝物,包括429種初級代謝物和481種次生代謝物,分別為氨基酸、糖和醇、有機酸、脂質、核苷酸、維生素、萜類、黃酮類、生物堿、多酚、“酮類、醛類、酸類”、苯丙素、類固醇、醌類、香豆素、木脂素和山酮。PCA分析顯示,CK0, CK6和T6三組在代謝水平上存在差異。
根據FC > 1、P < 0.05和VIP > 1的篩選標準,在CK0和CK6之間共鑒定出443個DAMs。其中,254種代謝物在CK0中上調,189種代謝物下調。這些DAMs代表了衰老黃花菜的主要成分變化,可分為17類,包括230種初級代謝物和213種次級代謝物。包括56種氨基酸、10種脂類、11種核苷酸、27種有機酸、28種糖和醇類、5種維生素、23種生物堿、3種香豆素、16種黃酮類、6種酮類、醛類、酸類、4種苯丙素、5種多酚類、2種醌類、8種類固醇、32種萜類和18個其他類。對于下調代謝物,鑒定了93種氨基酸(21種)、脂質(22種)、核苷酸(7種)、有機酸(26種)、糖和醇(15種)、維生素(2種)的初級代謝物,以及96種生物堿(12種)、類黃酮(16種)、酮類、醛類、酸類(8種)、木脂素(1種)、苯丙素(7種)、多酚類(8種)、醌類(2種)、類固醇(3種)、萜類(23種)和其他(16種)的次級代謝物。KEGG富集分析表明,DAMs與氨基酰基- tRNA生物合成、乙醛酸鹽和二羧酸鹽代謝、精氨酸生物合成、D -氨基酸代謝、丙氨酸、天冬氨酸和谷氨酸代謝密切相關。
CK6和T6積累的差異代謝物表明H2S處理具有顯著影響。在396個顯著改變的DAMs中,152個上調,244個下調。氨基酸(66),有機酸(47),糖和醇(40),脂質(25),核苷酸(21)和維生素(4),萜類(51),生物堿(32),類黃酮(25),酮類,醛類,酸類(14),苯丙素(12),多酚(10),類固醇(9),香豆素(5),醌類(4),其他類(31)。這些DAMs主要與甘油磷脂代謝、嘧啶代謝、戊糖、甘氨酸、絲氨酸和蘇氨酸代謝有關。
在之前的研究中,通過比較M6 (6 d采果)與M0 (0 d采果)和1-MCP(1-甲基環丙烯處理6 d采果)與M6積累的代謝物差異,發現了54種與李子果實成熟相關的常見代謝物。同樣,通過比較CK0與CK6、CK6與T6中的DAMs,共鑒定出303種重疊代謝物與黃花菜在儲存期間的成熟密切相關。為了進一步研究H2S處理下黃花菜衰老的化學基礎和潛在機制,作者分析了CK0與CK6、CK6與T6對照組中這些常見DAMs的聚類熱圖。這些DAMs顯著富集在嘧啶代謝、甘氨酸、絲氨酸和蘇氨酸代謝、精氨酸生物合成、戊糖和葡萄糖酸鹽相互轉化。在儲存第6 d時,胞苷5′-單磷酸、富馬酸、羥基乙酸、2′-脫氧胞苷-5′-單磷酸含量顯著下調,而H2S處理后其含量則上調,除胸苷和肌氨酸外,其余大部分DAMs經H2S處理后均恢復正常。硫酸鹽、5′-單磷酸尿苷、l -精氨酸、l -瓜氨酸、n -乙酰鳥氨酸在CK0組和CK6組中下調,而在CK6組和T6組中則呈現相反的趨勢。酮戊二酸、d -阿拉伯糖、d -阿拉伯糖醇、d -葡萄糖醛酸、l -異蘇氨酸、l -阿拉伯糖醇、l -天冬氨酸、l -絲氨酸、l -蘇氨酸、l -酪氨酸、丙二酸、甲基丙二酸、口角酸、利比醇、d -絲氨酸、l -同型絲氨酸-1、l -色氨酸在CK0和CK6處理中呈上調趨勢,但在H2S處理下呈抑制趨勢。結果表明,H2S可通過調節代謝水平延緩黃花菜衰老。

圖4- H2S處理下黃花菜廣靶代謝組學分析

圖5- H2S處理下黃花菜代謝物的差異積累

圖6-影響黃花菜貯藏期品質變化的主要因素的鑒定
在本研究中,評價了H2S對維持采后黃花菜品質的影響。結果表明,H2S作為一種抗氧化信號分子,抑制MDA和H2O2的積累,誘導蛋白質和抗氧化GSH的積累以及抗氧化酶的活性,從而維持了黃花菜貯藏過程中的氧化還原平衡。利用廣靶代謝組學方法鑒定了采后黃花菜中代謝物,并分析了它們在H2S處理下的變化。共鑒定和量化了910種代謝物,包括不同的化合物類別,包括429種初級代謝物和481種次級代謝物。差異積累的代謝物主要分布在氨基酸、有機酸、糖和醇類、萜類中。在貯藏6 d內,各種壩的相對含量發生變化,但經H2S處理后則發生逆轉。在CK0與CK6、CK6與T6兩組間共發現303個共同DAMs。這些代謝物主要富集在嘧啶代謝、甘氨酸、絲氨酸和蘇氨酸代謝、精氨酸生物合成、戊糖和葡萄糖酸鹽相互轉化的KEGG途徑中。代謝組學分析顯示,黃花菜在儲存和H2S處理期間存在廣泛的代謝重編程。H2S處理是維持黃花菜貯藏品質的一種很有前途的方法。該研究為進一步探索H2S處理下黃花菜代謝產物與采后品質之間的復雜相互作用提供了參考價值。
]]>

文章標題:Metabolomics and transcriptomic profiles reveal membrane lipid metabolism being an important factor of sliced taro browning
期刊名稱:Postharvest Biology and Technology
影響因子:7.0
合作單位:韶關學院和華南農業大學
研究對象:芋頭
研究方法:生理、轉錄組學、代謝組學等
百邁客生物為該研究提供了植物廣靶、轉錄組測序和分析服務。
在飲食中加入更多的新鮮蔬菜可以帶來許多健康益處,包括降低對慢性疾病的易感性和減緩衰老過程。市場上根莖類蔬菜切根產品的保質期短,破壞了這些優勢。切面褐變是限制切片蔬菜產品壽命的主要因素之一。因此,了解切片產品褐變背后的機制對于開發創新技術至關重要,這些技術可以在儲存和消費過程中有效地保持這些產品的營養價值和整體質量。
本研究選用購自中國韶關的“冰瑯玉”品種(Colocasia esculenta)。用于調查的芋頭大小相似,從大約800克到1000克不等,沒有任何明顯的缺陷或機械損傷。這些選定的芋頭被迅速運送到實驗室,為了確保清潔,在削皮和切割之前,要用自來水沖洗掉芋頭球莖表面殘留的淤泥。然后,將芋頭削皮,切成約1厘米厚的薄片作進一步實驗。首先用次氯酸鈉溶液(0.1 g/L)對芋頭切片進行滅菌。隨后,將無菌芋頭片密封在聚乙烯袋中(0.02 mm厚,尺寸為20 × 30 cm) (Xiao et al, 2020)。最后,芋頭切片冷藏(4℃), RH為90-95%,持續12天。樣品每隔2天采集一次,用于后續分析。在第0天(C0)、第6天(C6)和第12天(C12)獲得的樣本用于植物廣靶代謝組學和轉錄組學分析。
1.生理分析——冷庫條件下芋頭片褐變評價
芋片切面顏色隨貯藏時間的變化如圖1A所示。切面L*值從0 d時的88.72下降到12 d時的80.36,冷藏12 d后L*值下降了9%(圖1A)。芋頭切片表面的a*、b*、△E和BI值在冷藏過程中也表現出類似的變化趨勢(圖1B-E)。這些褐變指標隨著貯藏時間的延長而增加。冷藏12 d后,a*、b*、△E和BI值分別比0 d增加了582%、58%、725%和19%(圖1B-E)。宏觀褐變癥狀在第6天首次出現,并在隨后的儲存過程中逐漸加劇(圖1F)。綜上所述,這些結果表明,即使在低溫(4℃)條件下,切片芋頭在儲存過程中也會發生褐變。
為了闡明切片芋頭褐變的機制,研究人員分別在第0天、第6天和第12天對芋頭樣品進行了轉錄組學和代謝組學分析。

圖1-4℃貯藏期間切片芋頭的褐變發展
2.代謝組分析——切片芋頭褐變過程代謝組學分析
為了比較芋頭切片褐變過程中三個階段代謝物組成的差異,研究通過植物廣靶代謝組學分析,總共成功鑒定了芋頭切片中的638種代謝物。PCA分析顯示,三個儲存點采集的芋頭樣品具有明顯的分離性(圖2A)。在C0 vs C6中,共鑒定出206個DAMs,其中99個DAMs的豐度增加,107個DAMs的豐度減少。C6 vs C12共197個DAMs,分別有84個DAMs豐度增加,113個DAMs豐度減少。C0 vs C12包括119個DAMs,分別有51個DAMs和68個DAMs顯示豐度增加和減少(圖2B)。這些結果表明,在褐變過程中,代謝物豐度的減少幅度更大。
韋恩圖分析評估每個差異分組特有和共有的DAMs (圖2C)。圖2D-F展示了每個比較組中豐度增加和減少的top20的DAMs。C6組中10個代謝物豐度升高,如2′-脫氧腺苷、3-O-對香豆酰奎寧酸、n -乙酰- l -蘇氨酸、松柏醛、9(10)-EpOME、6-O-咖啡酰丁醇、表肌醇、l -同型半胱氨酸、5-O-對香豆酰奎寧酸、異鼠李素。相反,琥珀酸酐、9-(阿拉伯糖基)次黃嘌呤、氨基丙酸、N6-(2-羥乙基)腺苷、2-(二甲氨基)鳥苷、芐基-(2 ‘-O-木糖基)葡萄糖苷、鳥苷、肌苷、D-甘露糖和肌苷5 ‘ -單磷酸在C6組中的豐度較低(圖2D)。
在C6和C12中,9(10)- epOME、n -乙酰- l-蘇氨酸、2 ‘ -脫氧腺苷、松木醛、2-亞麻油基甘油-1,3-二- O-葡萄糖苷、6- O -對咖啡酰基熊果甙、5-O-對香豆酰基奎寧酸、異鼠李素、反式- 4-羥基肉桂酸甲酯和3- O -對香豆酰基奎寧酸在C12組中表現出更高的富集度。相反,9-(阿拉伯糖基)次黃嘌呤、酪氨酸、S-Aiiyl-L-半胱氨酸、8,11,14-二十烷三烯酸甲酯、L-蛋氨酸甲酯、LysoPC17:0、鳥苷、肉桂酸、11、14、17-二十碳三烯酸和黃嘌呤在C6組中具有更高的豐度(圖2E)。
在C0和C12中,9(10)- epOME、n -乙酰- L-蘇氨酸、2 ‘ -脫氧腺苷、5- O -對香豆酰基奎寧酸、2-亞麻油基甘油-1,3-二- O -糖苷、松木醛、6- O -對咖啡酰基熊果甙、異鼠李素、3-O-對香豆酰基奎寧酸和反式-4-羥基肉桂酸甲酯在C12組中含量較高。相反,9-(阿拉伯糖基)次黃嘌呤、肌苷、S – aiiyl -L -半胱氨酸、8,11,14-二十烷三烯酸甲酯、L-蛋氨酸甲酯、LysoPC17:0、鳥苷、肉桂酸、11、14、17-二十碳三烯酸和黃嘌呤在C0組中表現出更高的豐度(圖2F)。

圖2-切片芋頭植物廣靶代謝組分析
3.代謝組分析——切片芋頭褐變過程中DAMs的積累模式
為進一步分析代謝物在9個樣本的積累模式,該研究進行了聚類熱圖分析。結果顯示,隨著貯藏時間的延長,褐變程度逐漸增加,推測持續增加的DAMs可能有助于切片芋頭的褐變或促進其褐變過程。因此,該研究關注分析在褐變過程中豐度持續上升的DAMs (圖3B-L)。確定了11個DAMs在褐變過程中豐度持續增加,如2-α-亞麻烯酰甘油、甘油亞油酸、(9Z,11E)-十八烯二烯酸、N-油基乙醇胺、γ-亞麻酸、1-亞麻油基甘油、2-亞麻油基甘油、N-α-乙酰基- L-鳥氨酸、α-亞麻酸、9-羥基-10、12-十八烯二烯酸和1-α-亞麻烯酰甘油。值得注意的是,在這11個DAMs中,有10個是脂肪酸或脂質衍生物。幾種褐變指標與這些水DAMs之間的相關系數非常高。這些結果表明,在切片芋頭中脂質代謝與褐變發展之間存在潛在的聯系。

圖3-切片芋頭中差異代謝物(DAMs)的積累模式
4.轉錄組分析——冷藏芋頭切片褐變過程的轉錄組學分析
為了更好地了解基因表達的變化,該研究進行比較轉錄組分析。結果顯示許多基因在芋褐變過程中表現出不同的表達譜。具體來說,在C0和C6的比較中,鑒定出3103個表達上調的基因和1685個表達下調的基因。同樣,在C6和C12組的比較中,發現3021個DEGs上調,2350個DEGs下調。此外,與C0組相比,C12組有5108個基因的表達量更高(圖4A)。在褐變過程中發現了更多的上調基因,表明芋頭的基因表達發生顯著的變化。有趣的是,當比較C0與C6、C6與C12、C0與C12之間的DEGs時,發現1396個DEGs重疊(圖4B)。
根據褐變過程中的表達模式,將DEGs分為6個簇。每個聚類(從1到6)分別由1607、1293、533、1741、634和2470個度組成(圖4C)。KEGG富集分析顯示,簇1中有四個途徑的DEGs顯著富集:α-亞麻酸代謝、生物素代謝、植物-病原體相互作用以及淀粉和蔗糖代謝(圖4D)。此外,集群2中的DEGs在α-亞麻酸代謝、植物-病原體相互作用以及倍半萜和三萜生物合成途徑中富集(圖4E)。

圖4-切片芋頭褐變過程中的轉錄組學分析
5.聯合分析——基因共表達網絡構建
為了進一步研究脂質代謝與冷藏芋頭切片褐變之間的關系,研究采用WGCNA分析進行研究。如圖5A所示,鑒定出兩個與切片芋頭在冷藏期間褐變發育顯著相關的模塊。藍色模塊中基因與褐變BI、a*、b*、△E 4項指標呈正相關,而綠松石模塊中基因與褐變指標呈負相關(圖5B)。此外,隨著褐變的發展,藍色模塊中基因的表達量逐漸增加,而綠松石模塊中基因的表達量逐漸減少(圖5C)。此外,藍色和綠松石模塊中每個基因與褐變的相關性都很高(圖5D),說明這兩個模塊的基因與冷藏芋頭片的褐變發育高度相關。
切片芋頭的褐變與藍色模塊中的基因正相關,對該模塊中的基因進行了KEGG富集分析。在top20個富集的KEGG通路中,泛素介導的蛋白水解、α-亞麻酸代謝和谷胱甘肽代謝是富集最顯著的通路。尤其是α-亞麻酸代謝途徑和甘油脂代謝途徑中分別富集了14個和18個基因(圖5E)。這些結果為脂質代謝參與切片芋頭褐變的事實提供了進一步的線索。

圖5-WGCNA對模塊與性狀的相關性分析
6.基因驗證——參與亞麻酸代謝的DEGs的表達模式
為了驗證RNA-seq數據的質量,研究檢測了亞麻酸代謝途徑中DEGs的表達模式。在切片芋頭褐變過程中,該途徑中的DEGs差異表達(圖6A)。在這些基因中,4個基因(taro_028466、029177、001379和new gene_1582)的表達量在第6天較0天下降(圖6A)。10個基因(taro_026230、017933、007794、026197、032526、040173、011856、050352以及new gene_27424和3563)的表達量在第6天出現了增加,隨后又出現了下降。然而,這些基因在第12天的表達水平仍然高于第0天(圖6A)。其余15個基因在褐變過程中表現出穩定的表達增加。這些結果再次證實了亞麻酸代謝參與了芋頭褐變過程。
作者選擇了5個DEGs進行qRT-PCR分析(圖6B-F)。隨著貯藏時間的延長或褐變程度的惡化,這5個基因的表達量均呈上升趨勢。此外,通過RNA-seq和qRT-PCR分析確定的這些基因的總體表達模式高度一致(圖6B-F),證實了轉錄組學數據的可靠性。

圖6-亞麻酸代謝途徑中DEGs的表達模式
7.基因驗證——在褐變過程中,膜脂過氧化作用加劇
上述結果表明,膜脂代謝可能在芋頭褐變過程中起一定作用。為了進一步研究,評估了參與膜脂過氧化的關鍵DEGs的表達譜,如脂肪酶(LIP)和脂氧合酶(LOX)。三個差異表達的LIP基因在褐變過程中表達持續增加。LOX基因,除了8個LOX基因在褐變過程中逐漸增加,其他基因在褐變過程中表達先增加后下降 (圖7a)。這些結果表明,新鮮切割操作(如剝皮和切割)激活了芋頭的脂質過氧化過程。
丙二醛通常被認為是植物脂質過氧化的生物標志物。為了監測切片芋頭褐變過程中膜脂過氧化情況,測定了LOX活性和MDA含量。隨著時間的推移,LOX活性和MDA含量隨著褐變繼續進行逐漸升高 (圖7B, C)。這些結果表明,在褐變過程中,膜脂過氧化加劇。此外,相關分析顯示,LOX活性、MDA含量和其他褐變指標之間存在很強的相關性?(圖7D)。這些結果進一步支持了膜脂過氧化和/或代謝參與芋頭褐變。

圖7-膜脂過氧化的評價
切面褐變的發生是鮮切行業中切片芋頭生產和商業化的一個重要障礙。代謝組學分析顯示,在芋頭褐變過程中,亞麻酸及其衍生物以及氫過氧化物的含量增加,表明發生了膜脂降解。RNA-seq分析顯示,參與褐變過程的DEGs富集于α-亞麻酸代謝途徑。WGCNA分析得到了兩個與芋頭褐變密切相關的模塊,其中藍色模塊的基因與BI呈正相關,強化了膜脂代謝與芋頭褐變之間的聯系。隨著芋頭褐變的進行,LOX基因的表達和蛋白活性以及MDA的水平增加,表明膜脂過氧化促進了切片芋頭褐變。總之,該研究結果強調了膜脂代謝在切片芋頭褐變中的重要性。這項研究通過轉錄組和植物廣靶代謝組分析全面研究了芋頭褐變的機制。
]]>
合作單位:丹麥奧胡斯大學
文章標題:Metabolic Communication by SGLT2 Inhibition
期刊名稱:Circulation
影響因子:37.8
研究對象:小鼠、臨床隊列
測序技術:宏基因組測序、代謝組檢測。
百邁客生物為該研究提供了宏基因組測序服務。
鈉-葡萄糖協同轉運蛋白2(SGLT2)主要在腎臟近曲小管S1段表達,負責對葡萄糖進行定量重吸收。SGLT2 抑制劑(SGLT2i)是治療高血糖的有效療法,在2型糖尿病患者中,還可以保護心臟和腎臟免于衰竭。SGLT2i被認為具有許多作用和多效機制,涵蓋增強生酮和類禁食代謝反應、腎臟和全身血流動力學效應。然而,目前還未有研究闡明SGLT2i保護心血管和腎臟的關鍵機制,該機制對于心血管和腎臟保護至關重要。
丹麥奧胡斯大學學者在Circulation雜志上發表題為“Metabolic Communication by SGLT2 Inhibition“研究論文,研究團隊使用Akita小鼠模型和臨床隊列樣品,通過整合宏基因組、代謝組、蛋白組等多組學數據,確定了SGLT2i對腎臟、心臟、血管和其他器官的幾種SGLT2依賴性效應和脫靶效應,通過重構腎臟代謝物轉運和全身代謝通訊,發揮心腎保護作用。提供了關于SGLT2相互作用因子和SGLT2i依賴性蛋白質組、代謝組、磷酸化蛋白質組和宏蛋白質組的新見解,從而為SGLT2i新型和早期機制靶標提供了潛在的路線,促進代謝藥物的開發。
小鼠SGLT2i處理
19 只 8 周齡 C57BL/6J 雄性小鼠和 16 只糖尿病 C56BL/6-Ins2Akita/J 雄性小鼠,然后給予WD4周,WD后1周添加達格列凈或驅避WD飲食(vehicle;WT,n=9;Akita,n=8)。
組學技術
盲腸糞便宏基因組學和宏蛋白質組學
腎組織、尿液、血漿非靶向代謝組
腎臟、肝臟、心臟、肌肉和白色脂肪組織蛋白質組
1、綜合組學方法發現和翻譯策略概述
該研究旨在闡明SGLT2i的生理機制。作者假設大量的代謝器官通訊是對SGLT2i的反應而發生的,因此選擇了綜合組學方法。對非糖尿病小鼠的所有主要代謝器官、生物體液和腸道微生物群以及Akita小鼠單純性高血糖的早期階段進行了綜合代謝組學和蛋白質組學分析,Akita鼠是1型糖尿病的遺傳小鼠模型,長期SGLT2i處理對其有改善作用(圖1A 和1B)。研究短期暴露于SGLT2i 1周,目的是確定主要代謝效應和可能建立保護作用的代謝通訊,而不是研究長期治療后器官功能改善的后果。選擇高脂肪西方飲食(WD)是為了模仿西方生活方式的代謝環境。選擇達格列凈是因為其對患有和不患有糖尿病的患者具有心臟保護和腎臟保護特性。作者通過研究分析發現了一些意想不到的代謝信號(圖1C)。在后續研究中,將人腸道微生物培養物暴露于SGLT2i,使用SGLT2敲除 (KO) 小鼠來探測SGLT2i的脫靶效應,并在人腎、患者血漿和人誘導多能干細胞 (hiPSC) 中進行翻譯驗證。同時在人腎、患者血漿和人誘導多能干細胞 (hiPSC)中進行驗證(圖1D)。所得數據提供了關于SGLT2相互作用因子和SGLT2i依賴性蛋白質組、代謝組、磷酸化蛋白質組和元蛋白質組的新見解,從而揭示了SGLT2i的下游通路,這也為代謝性疾病藥物的開發提供了新思路。

圖1-研究設計和表型概述
2、匹配綜合有機組學發現和翻譯策略概述
使用達格列凈或溶劑對照一周后,對同一動物的主要代謝器官的蛋白質組學、磷酸化蛋白質組學、代謝組學和宏蛋白質組學方法進行了深度多組學分析(圖1A和1B)。結果表明,達格列凈可降低Akita小鼠的血漿葡萄糖水平,但不會降低非糖尿病WT小鼠的血漿葡萄糖水平。達格列凈在WT小鼠中誘導糖尿,但在Akita小鼠中沒有觀察到明顯的進一步增加(圖S1A)。通過蛋白質組學檢測,在腎臟、肝臟、心臟、肌肉和白色脂肪組織中總共鑒定到9501個蛋白質(8421個基因)和10744個磷酸化位點。其中,大多數SGLT2i引起的顯著變化是在腎臟中觀察到的。
3、SGLT2抑制對腎臟蛋白質組的重新配置
定量了腎皮質中的6676種蛋白質,其中在WT組鑒定到6107種蛋白質,Akita小鼠鑒定到6207種蛋白質。分析表明,SGLT2i對腎臟蛋白質組的影響比糖尿病小鼠更強:在WT小鼠中,SGLT2i增加了455種蛋白質,減少了485種蛋白質(圖2A)。SGLT2i治療糖尿病小鼠的蛋白質變化較少(29個增加,53個減少)。兩組小鼠腎臟線粒體蛋白豐度均有顯著變化,但只有WT組小鼠體內線粒體膜蛋白顯著上調(圖S2A)。此外,只有WT小鼠對SGLT2i有反應,腎臟頂端或基側膜上的蛋白質(圖2B)或參與mRNA剪接的蛋白質下調。在WT小鼠中觀察到的更強烈的變化之后,GO富集分析表明,跨各種功能相互連接的蛋白質的跨膜轉運發生了一致的變化,大多數轉運蛋白在WT小鼠中被SGLT2i下調。

圖2-綜合蛋白質組/相互作用組分析表明SGLT2i對腎臟代謝產物轉運的廣泛重塑
4、SGLT2i降低血漿腸源性有機陰離子(尿毒癥毒素)水平,盡管腎臟分泌轉運蛋白表達降低
為了確定除了葡萄糖之外的其他代謝信號通路是否影響了整體代謝譜,作者在選定的器官和生物體液中進行了非靶向代謝組學分析,總共有186種代謝物發生了顯著變化(所有器官總計322種)。作者發現SGLT2i主要影響尿液和血漿中代謝物的豐度,并且與糖尿病小鼠相比,非糖尿病小鼠受影響的分子多樣性更廣泛(圖3A)。
SGLT2抑制劑(SGLT2i)改變了腎蛋白質組和磷酸蛋白質組,同時調控其他代謝物轉運蛋白。其抑制作用引起了血漿和尿液代謝物的顯著變化。因此,研究者提出腎蛋白質組的重編程可能部分解釋了觀察到的代謝物變化。文章中指出了可能影響體液循環代謝物組成的多個過程,包括尿液排泄的改變(圖3B)。在WT小鼠中,SGLT2i在腎臟中減少了27種SLC的表達。結合這些結果和尿液代謝譜,表明了SGLT2i可能通過影響其他器官的代謝物組成,從而導致尿液中代謝物的變化(圖3C)。
接下來,作者分析了血漿和尿液中代謝物的含量,這些代謝物可以反映對腎臟轉運的主要影響。正如預期的那樣,葡萄糖和多種其他糖代謝物的血漿:尿液比率下降(圖3D),可能是因為腎小管重吸收減少。血漿:尿液比率增加的代謝物是賴氨酸代謝物,包括二氨基庚二酸、三甲基賴氨酸、哌可酸和氨基己二酸,一種針對小鼠模型中肥胖和糖尿病的保護性代謝物。許多響應SGLT2i而增加血漿:尿液比率的化合物是近端腎小管有機陰離子轉運蛋白OAT1的底物(圖3D):其中包括乙酰半胱氨酸、瓜氨酸、葡萄糖酸鹽和蛋氨酸, 表明這些化合物的腎臟分泌可能會減少。蛋白質組分析結果證實了這一點,即SGLT2i降低了WT中OAT1和OAT3的表達,腎膜組分的免疫印跡分析證實了這一點(圖3E)。與此同時,觀察到SGLT2i降低了所謂的滯留毒素或尿毒癥毒素的血漿水平(圖3A)。為了證實這一發現,對已知在腎臟疾病中保留且主要由腸道微生物組產生的血清代謝物進行了針對性分析。SGLT2i減少了 WT 小鼠血漿中的許多尿毒癥毒素,包括PCL、ILA、鄰氨基苯甲酸、香草酸和3-吲哚基硫酸鹽(圖3F)。在獨立的非糖尿病動物模型(高血壓Dahl SS大鼠)中,SGLT2i 同樣顯著降低了PCL硫酸鹽和ILA:尿液比率(圖S4E)。如前所述,這不能通過腎尿毒癥毒素 (OAT1/OAT3) 分泌能力的下調來解釋,并且表明SGLT2i改變了這些化合物的形成。

圖 3-非靶向代謝組分析揭示了SGLT2i誘導的氨基酸和有機陰離子代謝變化
5、SGLT2i重組尿毒癥毒素氨基酸腸道菌群發酵
許多尿毒癥毒素是由菌群產生的,SGLT2i改變尿毒癥毒素的代謝物,主要來自苯丙氨酸和色氨酸。因此,作者假設SGLT2i影響菌群,從而改變這些代謝物的產生。為了檢驗這一假設,使用宏基因組輔助宏蛋白質組學分析了匹配的盲腸微生物組(圖 S6A)。通過宏基因組學總共發現了6899個物種。將其轉化為蛋白質組,定量了這些物種的14621個蛋白質(WT為8249個,Akita小鼠為10847個),與Akita小鼠相比,SGLT2i在WT中的作用更強。系統發育概述總結了SGLT2i在WT小鼠中從門到科水平對微生物群的重新配置(圖4A)。在屬水平上,SGLT2i促使Akkermansia 和Lachnoclostridium增加,Acetatifactor和Bilophila減少(圖S6B)。
宏蛋白質組的多樣性分析顯示,治療后糖尿病小鼠的α多樣性較高,而WT和糖尿病小鼠的對照和治療動物的β多樣性顯著不同。宏蛋白質組分析還涵蓋了消化道的典型蛋白質,其中大多數蛋白質被SGLT2i 下調,34個下調,3個上調。與腎臟一樣,一些減少的蛋白質參與營養轉運,包括寡肽的Slc15a1、尿酸鹽/外源性分泌轉運蛋白 Abcg2和脂肪酸輸入的Slc27a4。
由于WT小鼠中SGLT2i改變的許多血漿溶質是芳香族氨基酸的代謝物,因此分析了可以在蛋白質組水平上代謝這些氨基酸的細菌的豐度。對于產生吲哚的細菌,發現表達色氨酸酶以從色氨酸產生吲哚的物種減少(吲哚丙烯酸;圖4B)。
使用苯丙氨酸等芳香族氨基酸作為底物可以減少甲酚和苯酚的生成劑(圖4B)。糞便代謝組檢測表明顯示糞便中存在達格列凈(圖4C)。在達格列凈治療小鼠的這些糞便樣本中,色氨酸和苯丙氨酸發酵的代謝物有所減少(圖4C)。為了探究達格列凈在糞便中的直接作用,將SGLT2i添加到人糞便中。厭氧發酵后,發現吲哚乳酸、色氨酸代謝物和肉桂酰甘氨酸減少(圖4D);也就是說,與WT小鼠血漿中SGLT2i 減少的化合物相關的化合物(圖3F)。在人體糞便發酵中添加SGLT2i也逆轉了這些毒素母體分子的消失,特別是芳香族氨基酸色氨酸、酪氨酸和苯丙氨酸(圖4D)。
這表明SGLT2i對微生物群產生較少尿毒癥毒素的生理作用也可能涉及SGLT2i對微生物群的直接影響。

圖4-代謝蛋白質組學分析表明,SGLT2i重塑和減弱了氨基酸微生物組發酵為尿毒癥毒素的能力
6、SGLT2I對尿毒癥毒素代謝產物的凈減少不依賴SGLT2
作者進一步檢測了還原的代謝物是否獨立于SGLT2蛋白的存在,以及這些影響是否在更長的時期內保持。使用了SGLT2 KO小鼠模型(SGLT2 KO)。用SGLT2I(達格列凈)對SGLT2 KO和WT小鼠進行了16周的正常飲食治療,分析了血漿和尿液,并使用保留代謝物小組進行了血漿靶向分析(圖5A)。SGLT2 KO小鼠的血糖較低,葡萄糖排泄量較高,食物攝入量較高(圖5B和圖S6E)。在KO小鼠中,SGLT2i不影響這些措施中的任何一項。
在SGLT2 KO和WT小鼠中,許多代謝物的比率發生了類似的變化,就像在WT小鼠中使用達格列凈和溶劑處理一樣(圖5C左圖),這表明SGLT2抑制的后果。在其他方面,葡萄糖比率的下降,反映了尿糖排泄的增加。正如預期的那樣,SGLT2的缺失阻斷了達格列凈對葡萄糖排泄的影響(圖5C右圖)。另一方面,達格列凈顯著改變了SGLT2 KO小鼠體內許多代謝物的比例,表明了一種偏離靶點的效應(圖5D)。血漿:尿液比例的排名變化顯示,達格列凈降低了SGLT2 KO小鼠中多種芳香酸代謝物的比例,包括甲酚和馬尿酸鹽,其次是色氨酸代謝物。血漿水平分析確定了SGLT2i在SGLT2 KO環境中顯著改變的5種代謝物,包括PCL硫酸鹽和一種修飾的馬尿酸(圖5E和5F)。該實驗表明SGLT2i治療具有非靶點效應,包括對甲酚、馬尿酸鹽和色氨酸代謝物。

圖5-利用SGLT2 KO小鼠探索SGLT2i的代謝脫靶效應
7、SGLT2i的代謝器官通訊效應在人類中是相關的
鑒于腎臟SGLT2相互作用組以及微生物對SGLT2i的反應在小鼠和人類中相似,我們想知道SGLT2i是否會影響循環中的溶質,在縱向數據中與心血管相關。對來自2個獨立研究的患者的血漿樣本進行了靶向代謝組分析,目標是80個有機陰離子和尿毒癥毒素。在第一組>40名患者中,在失代償性心衰的真實環境中分析了這種影響(圖6A)。結果表明,SGLT2i顯著降低或鈍化了心力衰竭患者血漿中幾種有機陰離子的增加,但僅當住院期間添加SGLT2i時(圖6B和6C)。包括幾種色氨酸代謝物,如ILA、犬尿酸和乙酰色氨酸,以及苯丙氨酸代謝物苯乙酰谷氨酰胺和PCL硫酸鹽。分析了在糖尿病患者中使用SGLT2I(依帕列凈)的隨機對照試驗的縱向數據(圖6D)。與基線和安慰劑相比,二甲基尿酸和三甲基尿酸的血漿濃度降低,PCL降低,吲哚代謝物增加緩慢(圖6E和6F)。在兩項臨床研究中,降低的溶質大部分來自嘌呤代謝和腸道芳香氨基酸代謝,這與在小鼠身上觀察到的代謝器官一致。

圖6-SGLT2i 誘導的尿毒癥毒素減少也適用于人類
8、SGLT2i依賴代謝物對甲酚誘導人EHT應激信號
在人類、小鼠(包括Sglt2 KO小鼠)和大鼠研究中的不同循環代謝物之間觀察到一致的總體趨勢(圖7A),在觀察到的所有系統中,SGLT2i均一致降低PCL硫酸鹽或 PCL。為了分析這種化合物對人體組織的影響,將hiPSC EHT暴露于PCL。PCL在先前報道的患者濃度(300 μM)68,69 下改變了心肌細胞的松弛時間(圖7B)。數小時內濃度提高十倍(低mM 范圍)顯著降低了力和頻率(圖7C和圖S7A),當 EHT 受到頻率控制時也是如此(圖S7B)。PCL 對 EHT 的影響是部分可逆的,可以通過洗掉化合物來恢復(圖7C )。
為了進一步闡明該機制,對用300μM PCL、吲哚乳酸和3種其他芳香族代謝物處理的 EHT 組織進行了蛋白質組學分析(圖7D)。觀察到最強烈的變化是 PCL 的反應(圖7D)。多種蛋白質的增加包括心臟病相關通道TRPM4、 FLNA和生長因子CCN1;減少的蛋白質包括 PPP1R1A,其下調已被報道為人類HF的標志。PCL改變的蛋白質組的一個獨特特征是心臟肌節相關蛋白的減少(圖S7D),以及應激信號 GDF15的強烈感應(圖7E)。考慮到HF患者中該通路的調節,檢測了GDF15 水平,發現接受SGLT2i治療心力衰竭的患者循環 GDF15 減少(圖7F)。

圖7-SGLT2i調節的尿毒癥毒素對甲酚對人體工程心臟組織的影響
該研究通過整合多個代謝器官和體液樣品,進行了深入的蛋白質組學、磷酸化蛋白質組學和代謝組學分析,發現SGLT2i減少了尿毒癥毒素(如對甲酚硫酸鹽)的微生物群形成,從而減少了它們的體內暴露和腎臟解毒的需要,結合SGLT2i對腎臟的直接影響,包括較少的近端小管葡萄糖毒性和對頂端轉運體(包括鈉、氨基酸和尿酸鹽的攝取)的廣泛下調,為腎臟和心血管保護提供了代謝基礎。該研究提供的資源為更深入地了解SGLT2抑制劑對代謝、腎臟和心臟功能的影響,從而對維持心血管健康提供了新的見解。
]]>
期刊名稱:Molecular Plant
影響因子:21.949
發表單位:中國科學院遺傳與發育生物學研究所
研究部位:高等植物及綠色生物
研究方法:磷酸化蛋白質組、PRM靶向蛋白組
2023年11月27日,中國科學院遺傳與發育生物學研究所汪迎春團隊在Molecular Plant在線發表了題為GreenPhos, a universal method for in-depth measurement of plant phosphoproteomes with high quantitative reproducibility?的研究論文。論文中報道了一種具有突破性的植物磷酸化蛋白質組學新技術。該技術采用了簡化、穩健的工作流程,有效地克服了植物磷酸化蛋白質組分析的主要技術難點,能高靈敏度、高特異性快速地富集植物磷酸肽。利用該技術可定量分析不同植物的磷酸蛋白質組,其分析深度之深、定量重復性之高前所未有,有望成為植物磷酸蛋白組學的通用技術。由于該技術主要面向高等植物及其它綠色生物(如衣藻),且操作簡便,極大地降低了實驗所需的人力和試劑費用,因此命名為GreenPhos (綠磷)。
蛋白質磷酸化在植物的生長、發育、環境適應以及作物的產量和品質調控中發揮著重要的作用。深度解析磷酸化蛋白質組是全面理解磷酸化如何行使功能的有效手段。然而,與動物相比,植物磷酸化蛋白質組的深度解析在技術上更具挑戰性。因為植物細胞具有致密的細胞壁和大量的包括色素在內的次生代謝物,前者極大地增加了蛋白質提取的難度,而后者嚴重地干擾了磷酸肽富集的效率和特異性。
野生型擬南芥(Col-0)幼苗在10%漂白劑中表面消毒,在無菌去離子水中漂洗,然后播種在含有1%瓊脂,pH為5.8的半強度Murashige和Skoog (1/2 MS)培養基上。種子在4℃的黑暗條件下發芽2天。幼苗在1/2 MS固體培養基上生長10天,然后轉移到1/2 MS液體培養基上,再培養16小時。在鹽脅迫實驗中,將幼苗轉移到添加或不添加(對照) 100mM NaCl的新鮮培養基中,根據需要孵育30 min或120 min。
1.GreenPhos的開發——一種穩定高效的純化植物磷酸肽的方法
從植物組織中高效提取蛋白質是深入分析植物蛋白質組和磷酸化蛋白質組的第一步和關鍵一步。為此,作者比較了SDS、GdnHCl和SDC等不同變性劑對擬南芥葉片中蛋白質的提取性能。結果發現SDS-和SDC-提取的蛋白的性能相似,但優于GdnHCl。植物樣品相較于動物樣品含有較低濃度的蛋白質,因此作者優化了磷酸化蛋白質組的提取和富集的方法,即用SDS或GdnHCl緩沖液提取的蛋白質樣品,在蛋白質消化和隨后的磷酸肽富集之前,必須去除變性劑(圖1A)。接著用氯仿-甲醇沉淀提取的樣品,去除變性劑和其他干擾生物分子(圖1A和1B)。而作者通過實驗發現,SDC法提取的蛋白樣本不需要經過氯仿-甲醇沉淀,而鑒定到的磷酸化蛋白更多,同時需要的植物材料更少。因此作者認為SDC法更節省成本達到更好的效果,并在番茄、水稻、綠藻等生物中得到驗證,從而確定了磷酸化蛋白組學的方法,稱之為GreenPhos。

圖1 GreenPhos的工作流程
2.?GreenPhos與當前磷酸肽富集方法的比較
GreenPhos與當前基于polyMAC的磷酸肽制備方法相比,在上機蛋白等量的情況下,GreenPhos方法平均鑒定出11072個磷酸化位點,而polymac法鑒定出9399個磷酸化位點 (圖2B),表明GreenPhos的分析深度比PolyMAC的高18%,并且需要的樣本量更少,省去了更多的實驗步驟和時間。與此同時,作者發現GreenPhos的富集選擇性(92%)也高于PolyMAC的富集選擇性(54%)(圖2C)。可能原因是次生代謝物的存在影響了磷酸肽對TiO2珠的親和力,PolyMAC優先富集磷酸化肽,而GreenPhos富集了更多的雙重或多重磷酸化肽(圖2D-E)。總之,在當前實驗條件下,GreenPhos優于基于polyMAC的方法。

圖2 GreenPhos和基于polyMAC的方法的性能比較
為了進一步測試GreenPhos的效率和靈敏度,作者從擬南芥葉片中提取蛋白質(100、300、600和900μg),分別從4個樣品中分別富集磷酸肽,并通過LC-MS分析(圖3A)。通過比較鑒定出的磷位點和磷酸肽的數量,發現兩者都隨著上機量的增加而增加,達到600μg后鑒定出的磷酸化位點和磷酸化肽的小幅增加 (圖3A和3B)。說明鑒定的磷酸化位點的數量與起始蛋白的數量不存在正相關,因為LC-MS在使用相同的獲取參數時是飽和的。
為了評估GreenPhos在定量磷酸化蛋白質組學中的潛力,作者了鑒定的磷酸化肽與上機量之間的定量關系。以900μg為參照,在100、300和600μg中,檢測到的磷酸肽強度比與參考中磷酸肽強度比的中位數與理論值具有很好的相關性(圖3C)。分析結果表明,GreenPhos與單次LC-MS結合可用于從高達600μg的蛋白質中定量磷酸肽,準確度高。通過5次重復質譜分析,評價了GreenPhos在植物磷蛋白組定量鑒定中的再現性。5個生物重復和5個技術重復的磷酸肽強度的Pearson相關系數平均分別為0.95和0.97 (圖3D和3E),表明具有較高的定量可重復性。從5個生物重復中共鑒定出磷酸化位點14063個,其中74%的磷酸化位點至少在2個重復中鑒定出 (圖3F)。結果表明,GreenPhos可以在定量和定性上產生高度可重復性的結果。

圖3 GreenPhos的靈敏度、定量準確度和重現性評價
4.?利用GreenPhos對擬南芥鹽脅迫誘導的磷酸化蛋白組分析
為了深入了解擬南芥對鹽脅迫響應中蛋白磷酸化介導的信號,作者使用GreenPhos和單次LC-MS檢測,分析了100 mM NaCl處理30分鐘(T30)和120分鐘(T120)或未處理(T0)的擬南芥幼苗的磷酸化蛋白質組學(圖4A)。每個處理包括3個生物學重復,每個重復600μg蛋白用于磷酸肽的富集。總共從4316個磷酸化蛋白中鑒定出12908個磷酸肽,含有15889個磷酸化位點。在磷酸肽中,13473個磷酸位點在處理的至少一個重復中包含可量化的信息。
對三個重復中至少任意兩個重復中的11128個磷酸位點進行了label free定量。采用p< 0.05篩選不同處理間存在差異的磷酸化位點。聚類分析顯示,磷酸化蛋白形成了四個不同的簇,顯示了鹽脅迫誘導的磷酸化水平在所有處理中表現出顯著差異(圖4B)。在簇1中,磷酸化水平在鹽脅迫30 min后適度下降,在120 min后升高。在簇2中,磷酸化水平在30 min時總體上升,而在120 min后維持在相似的水平。在簇3中,磷酸化水平在30 min時沒有顯著變化,在120 min時下降。在簇4中,磷酸化水平在30 min鹽脅迫下下降,并在120 min時維持在類似的水平。

圖4 利用GreenPhos定量鑒定鹽脅迫下分析擬南芥幼苗磷酸化蛋白組
使用Fisher’s-exact對每個簇中的磷酸化蛋白進行GO和KEGG富集分析(圖5)。與報道一致,在細胞組分條目,細胞核、細胞質和細胞膜蛋白在所有簇中被顯著富集。在分子功能條目,激酶活性在簇1、2和4中富集,而在簇3中不富集,但是蛋白質去磷酸化的在生物過程條目在簇3中富集。結果表明,激酶的磷酸化激活和磷酸酶的去磷酸化是鹽脅迫誘導的重要反應。

圖5 鹽脅迫誘導的差異磷酸化蛋白的功能富集
激酶通常通過識別特定的序列motif來磷酸化它們的底物,即磷酸化motif。使用motif-x算法?(https://meme-suite.org/meme/tools/momo)選擇在任意兩個處理中表現出差異水平的磷酸化位點進行磷酸化motif分析。在處理T30/T0之間顯示磷酸化增加的磷酸化位點中,四個motif?(SP、SDxE、SDxD和LxxxxS)被過度表達,而兩個motif?(SP和RxxS)在顯示磷酸化降低的磷酸化位點中過度表達(圖6A)。同樣,在120 min鹽脅迫(T120/T0)下,在磷酸化位點中,分別有4個motif(SP、SDxE、SDxD和SxxE)和3個motif(SP、RxxS、SxxE)的水平升高或降低(圖6B)。兩種處理(T120/T30)的比較顯示,在120 min鹽脅迫下,兩個motif(SP、SD)和motif(SP)在磷酸化位點中被過度表達,分別表現出更高和更低的磷酸化水平(圖6C)。
在所有處理中,富含脯氨酸的motif (SP)在上調和下調的磷酸位點中都被過度表達,并且通過PRM進一步驗證了β-淀粉酶1 (BAM1)上含有S55的一個motif (圖6)。緊接著作者鑒定了5個CDPKs的12個磷酸位點和3個MAPK上的4個磷酸位點,包括MPK19激活環上的一個磷酸位點,這些激酶被認為和鹽脅迫相關。綜上所述,包括MAPKs和CDPKs在內的多種激酶在鹽脅迫中起作用。

圖6 磷酸化對鹽脅迫的反應
除了激酶外,在簇1、2和4中剪接體被KEGG通路顯著富集 (圖5),暗示磷酸化調控mRNA的可變剪接,是植物響應脅迫的關鍵過程。在鹽脅迫下,18個剪接體蛋白上共有28個不同的位點被差異磷酸化 (圖7)。利用PRM進一步驗證了Y209在SCL30上的差異磷酸化(圖6)。據報道,RNA解旋酶及其磷酸化對剪接體的組裝至關重要。在鹽脅迫30分鐘后,Prp5的S210、S442和S444位點磷酸化增加,并在120分鐘后保持高水平,Prp19的多個亞基也觀察到類似的磷酸化模式(圖7)。盡管這些差異磷酸化事件的意義尚未得到明確的證明,但它們可能參與了鹽脅迫誘導的mRNA剪接的調控。

圖7 鹽脅迫誘導剪接體蛋白的差異磷酸化
GreenPhos不僅極大地提高了植物磷酸化蛋白質組的解析效率,而且也顯著地減低了實驗操作的難度和成本,為更深入地理解蛋白質磷酸化在植物生命過程中的功能提供了強有力的工具。該研究成果將有效推進磷酸化蛋白質組學與植物生物學和農學等領域的交叉融合,在發掘與作物產量、品質以及抗逆密切相關的磷酸化蛋白及其位點中有著廣泛的應用前景。
Duan?X,?Zhang?Y,?Huang?X,?Ma?X,?Gao?H,?Wang?Y,?Xiao?Z,?Huang?C,?Wang?Z,?Li?B,?Yang?W,?Wang?Y.?GreenPhos,?a?universal?method?for?in-depth?measurement?of?plant?phosphoproteomes?with?high?quantitative?reproducibility.?Mol?Plant.?2023?Nov?27:S1674-2052(23)00393-3.?doi:?10.1016/j.molp.2023.11.010.?Epub?ahead?of?print.?PMID:?38018035.
今天,整理了2篇相關文獻追蹤帶給大家~
01 受試者特征-臨床指標
在平均6年的隨訪期間,對西班牙裔社區健康研究/拉丁裔研究(HCHS/SOL)受試者中發現了224例糖尿病發病案例。與未患糖尿病的人相比,糖尿病身高體重指數(BMI)、腰臀比(WHR)、舒張壓(DBP)和甘油三酯水平較高,但高密度脂蛋白(LPL)水平較低。與非糖尿病患者相比,糖尿病患者中使用降壓和降脂藥物以及糖尿病家族史的頻率也更高。
02 脂質和氨基酸類代謝物與糖尿病
在對臨床相關指標進行研究之后,對624種已知代謝物進行研究,發現其中有134種代謝物與糖尿病發病顯著相關。110種代謝物與糖尿病風險呈正相關,而其余24種代謝物與糖尿病風險呈負相關。這134種重要代謝物主要包括脂質(41.8%)和氨基酸(35.8%)類物質。
03 代謝物模塊與糖尿病風險
通過網絡分析,發現最終形成了10個代謝物模塊,其中某些代謝物是與之前研究的代謝物一致(如脂質類物質和AA代謝物模塊),均與糖尿病的發病相關。而另一些模塊可能由與糖尿病相關的新代謝物組成。大多數代謝物模塊與6年來各種血糖特征的變化有關,這些變化方向與糖尿病發病關聯的方向一致。同時證實了許多葡萄糖和能量代謝有關的代謝物與糖尿病發病是高度相關的。
此外的研究過程中,發現了雄激素-類固醇代謝物與糖尿病風險的潛在新關聯。這些代謝物是硫酸化雄烯二醇和雄烷二醇。同時發現這些代謝物在男性中的水平高于女性,并隨著年齡的增長而下降。但在本文的研究中,發現它們與糖尿病風險正相關。進一步分析表明,只有在這些雄激素水平非常高的男性中,糖尿病的風險才會顯著增加。
β-隱黃質、異檸檬酸、蘇氨酸、N-甲基脯氨酸、草酸和酒石酸,與水果和蔬菜的飲食攝入量呈正相關,與糖尿病風險呈負相關。這些代謝物存在于水果和蔬菜中,且其中一些代謝物(即β-隱黃質、蘇氨酸、N-甲基脯氨酸)作為健康飲食模式的關鍵生物標志物存在。
參考文獻:【IF:9.5】
Chai JC, Chen GC, Yu B, Xing J, Li J, Khambaty T, Perreira KM, Perera MJ, Vidot DC, Castaneda SF, Selvin E, Rebholz CM, Daviglus ML, Cai J, Van Horn L, Isasi CR, Sun Q, Hawkins M, Xue X, Boerwinkle E, Kaplan RC, Qi Q. Serum Metabolomics of Incident Diabetes and Glycemic Changes in a Population With High Diabetes Burden: The Hispanic Community Health Study/Study of Latinos. Diabetes. 2022 Jun 1;71(6):1338-1349. doi: 10.2337/db21-1056.
該研究選擇6010名北美社區動脈粥樣硬化風險(ARIC)研究參與者,同時進行內部驗證隊列(2913名ARIC研究參與者)和外部驗證隊列(新加坡多民族(MEC)巢式病例對照研究,對照組1214名,糖尿病組624名)的構建,對4955種血漿蛋白質與糖尿病發病機制的相關性進行了分析。鑒定了47種預測糖尿病發生發展的血漿蛋白質,建立了3種蛋白質的因果效應并確定了對診斷和治療具有潛在意義的糖尿病相關炎癥和脂質通路。
01 糖尿病相關蛋白的發現
發現隊列(6010例)的參與者中,1435例確診為糖尿病患者。基于蛋白組學結果,初步分析有596種蛋白質呈現顯著差異且與糖尿病發生風險相關。在對人口統計學、eGFR、生活方式、心臟代謝危險因素及BMI進行分析后,發現有140種蛋白與糖尿病風險相關。其中ADIPOQ、SLITRK3、IGFBP2、APOF、HTRA1與糖尿病發生風險相關性最大。
02 糖尿病相關蛋白質的驗證
內部驗證:在內部驗證樣本(n=2913)中,有712例確診為糖尿病。同時在發現集中鑒定到64種蛋白質與糖尿病發生發展具有顯著相關性。其中包括25種已知的與糖尿病發生相關的蛋白質。
外部驗證:對于這64種蛋白質,進一步在來自新加坡的外部隊列MEC(對照組1214名,糖尿病組624名)中進行了驗證。其中有47種與糖尿病的發生發展具有顯著相關性。
03 蛋白質通路分析
作者采用Ingenuity Pathway Analysis(IPA)通路分析,結果顯示最關鍵的生物通路是急性期反應信號通路。在上游調控因子分析中,發現促炎性細胞因子IL17a被確定為糖尿病相關蛋白網絡的上游調節因子。而另一個上游調節因子是腫瘤壞死因子,作為細胞因子和炎癥信號的主要調節因子存在。
04 遺傳分析
作者通過蛋白組關聯分析和全基因組關聯分析的雙孟德爾隨機化分析,確定了所構建模型的64種蛋白質中的3種SHBG、ATP1B2和GSTA1在糖尿病發病中的因果關系。
參考文獻:【IF:17.1】
Rooney MR, Chen J, Echouffo-Tcheugui JB, Walker KA, Schlosser P, Surapaneni A, Tang O, Chen J, Ballantyne CM, Boerwinkle E, Ndumele CE, Demmer RT, Pankow JS, Lutsey PL, Wagenknecht LE, Liang Y, Sim X, van Dam R, Tai ES, Grams ME, Selvin E, Coresh J. Proteomic Predictors of Incident Diabetes: Results From the Atherosclerosis Risk in Communities (ARIC) Study. Diabetes Care. 2023 Apr 1;46(4):733-741. doi: 10.2337/dc22-1830.
●設計取樣:不同時期或者階段的糖尿病病人、包括但不限于二甲雙胍治療的糖尿病病人
●樣本類型:血漿、血清
●組學手段:代謝組、蛋白組、微生物、轉錄組
●最終目的:研究糖尿病的發病機制或藥物治療糖尿病的靶點所在
●實驗設計:

期刊名稱:PNAS
影響因子:12.779
合作單位:斯坦福大學
研究部位:根、莖、葉、枝條
研究方法:轉錄組、代謝組、體外酶活
2021年6月,斯坦福大學 Elizabeth S. Sattely 團隊在國際頂尖學術期刊《美國國家科學院院刊》PNAS發表一項重要研究成果,題為:A metabolic regulon reveals early and late acting enzymes in neuroactive Lycopodium alkaloid biosynthesis。研究通過代謝組學和轉錄組學的方法,確定了一組發育受控的生物合成基因,或潛在的調節子,用于調控石松生物堿的生物合成。
植物合成了許多能影響哺乳動物中樞神經系統的小分子化合物,成為治療神經系統疾病藥物先導的重要來源。一些重要神經活性植物代謝物是賴氨酸衍生的生物堿,但植物合成這類化合物的機制在很大程度上仍未被闡明。為了更好地理解植物如何合成這些代謝物,作者團隊聚焦于傳統草藥石松(Club moss)Phlegmariurus tetrastichus中石松生物堿(Lycopodium alkaloids)的生物合成研
究。迄今已報道發現了數百種石松生物堿,包括乙酰膽堿酯酶抑制劑石杉堿甲(Huperzine A,HupA),其作為阿爾茨海默癥(Alzheimer’s disease,AD)治療藥物引起了科學家廣泛的研究興趣。

圖1 雜環亞胺的脂肪族生物堿的合成邏輯
Phlegmariurus屬(以前被歸類為石杉屬)的品種:P. brassii,P. carinata,P. goebelli,P. salvinoides,P. squarrosus和P. tetrastichus,所有植物均在室溫和光照下生長,并偶爾通過去離子水(DI)噴灑其根部來澆水。每周一次,向植物提供直接施用于根部的營養液(Ionic Grow for Soil 3-1-5,Hydrodynamics International)。用于異源基因表達的本氏煙草植株在實驗室環境溫度下,在生長燈下以 16/8 小時的光/暗循環在 PRO MIX HP 菌根土壤(Premier Tech Horticulture)中生長。選擇植物在萌發后 4 至 5 周進行
農桿菌介導的轉化。
1、轉錄組實驗
取根、莖、葉、枝條,每組3個重復。
2、代謝組實驗
取根、莖、葉、枝條,每組3個重復。
1. 轉錄組分析——石松生物堿生物合成研究
為了指導對石松生物堿生物合成的研究,作者重點關注 HupA,因為它已知具有作為 AChE 抑制劑的活性和作為藥物的潛力。HupA 由石松屬內的物種產生,但這些物種的 HupA 積累水平差異很大。作者推斷物種中 HupA 的增加可能與上調的生物合成基因表達有關。因此,檢測了石松屬的幾個物種的 HupA 含量,結果發現P. tetrastichus(圖 2A)積累了 HupA 到最高水平。因此,后續的研究將集中在該物種上。之前的研究表明,從頭 HupA 生物合成對P. tetrastichus枝條的新生長具有特異性,接著作者通過氘同位素標記實驗得到驗證,并且發現與莖相比,HupA標記在葉中更廣泛分布,表明這里的生物合成基因表達富集(圖2B)。因此,作者對對該物種的多個組織進行了RNA-seq分析,揭示石杉生物堿生物合成基因在活性組織中的積累機制。

圖2 石杉堿甲的植物的代謝組學和轉錄組學
為避免從頭轉錄組組裝的技術局限性,作者利用PacBio單分子實時(SMRT) 測序獲得了從 P. tetrastichus組織中分離的RNA的全長互補DNA(cDNA)序列,從而生成參考轉錄組,然后對多個植物組織進行轉錄組測序。
2.轉錄組分析——哌啶基-酮化物中間體合成基因發現
植物中雜環亞胺的產生,例如石松生物堿的 1-哌啶前體,涉及 Lys/Orn 氨基酸的脫羧,然后是所得多胺的氧化,這兩者幾乎是植物中常見的代謝過程。賴氨酸脫羧酶 (LDC) 酶和銅胺氧化酶(CAO) 是該途徑早期步驟的基因,作者進一步研究LDC和CAO基因的代謝機制。
通過轉錄組數據的分析,作者發現了兩個LDC 同源基因(PtLDC-1和PtLDC-2)(圖 2C)和兩個CAO基因(PtCAO-1和PtCAO-2),并且發現PtCAO基因與 PtLDC基因具有強烈共表達,說明它們參與了相同的代謝途徑,可能與石松生物堿的生物合成相關。
為了驗證PtLDC和PtCAO基因的功能,在煙草葉片中單獨和共轉化。然后通過液相色譜-質譜(LC-MS)分析葉提取物,以評估代謝物積累的變化。結果顯示,兩種 PtLDC 同源基因都顯著升高了尸胺水平(圖 3)。PtCAO同源基因與PtLDC同源基因的共表達導致生成的尸胺消耗和1-哌啶二聚體和三聚體的產生(圖3)。并且發現同源基因的功能是冗余的,因此在所有后續實驗中使用PtLDC-2和PtCAO-1產生1-哌啶聚合物。

圖3 一種用于1-piperideine生物合成的重組途徑
3.轉錄組學分析——石松生物堿生物合成中形成 4PAA 和 peletierine 關鍵酶基因發現
接下來,推測通過向 1-哌啶聚合物中添加丙二酰輔酶 A 衍生的聚酮鏈以產生 4-(2-哌啶基)乙酰乙酸(4PAA),該酸可以脫羧產生peletierine(圖 1B)。聚酮底物的產生表明聚酮合酶(PKS)酶參與催化這種亞胺-酮縮合反應,并在石松生物堿的生物合成中起作用。進一步分析揭示了兩個PKS候選基因(PtPIKS-1和PtPIKS-2),與PtLDC-1共表達基因之一(圖2C)。PtPIKS-1 PtPIKS-2與PtLDC-2 和PtCAO-1在煙草葉片中的瞬時共表達導致1-哌啶代謝物的消耗和幾種新化合物的產生。其中一種化合物具有與假定的石松生物堿前體peletierine相對應的精確質量數 ([M+H]=m/z
142.1226),并通過與合成標準品的比較來驗證這一點(圖 3)。此外,作者觀察到與4PAA質量數相同的化合物的產生([M+H]=m/z 186.1125),其結構分配由串聯質譜(MS/MS)碎裂支持(圖3)。作者認為 4PAA(一種β酮酸)的自發脫羧會導致pelletierine的產生,煙草實驗也驗證這一點(圖 3)。綜上所述,PtPIKS-1和PtPIKS-2可能是石松生物堿生物合成中形成 4PAA 和peletierine的關鍵酶。
為了更好地了解這種亞胺-酮縮合的機制,獲得了兩種PtPIKS同源基因的純化蛋白用于體外分析。與我們在本式煙草中的結果一致,當添加 1-哌啶和丙二酰輔酶 A 作為底物時,PtPIKS-1和PtPIKS-2在體外測定中都產生了4PAA和pelletierine(圖4 A和B),此外還有其他幾種未知化合物。雖然當單獨孵育 1-哌啶作為底物時沒有觀察到明顯的產物,但僅向PtPIKS-1添加丙二酰輔酶 A 會導致 3-氧代戊二酸的積累(圖 4 C 和 D)。3-氧代戊二酸的積累表明,PIKS能夠催化兩個丙二酰輔酶A單元縮合成硫酯連接的3-氧代谷氨酰基團,并且該聚酮酸從硫酯鍵上酶促或非酶水解。

圖4 PtPIKS催化的亞胺-酮縮合反應的體外分析
4.代謝組學分析——石松生物堿生物合成中代謝物合成機制
研究報道指出,在石松屬和托烷生物堿生物合成中觀察到的亞胺-酮縮合是通過 3-氧代戊二酸與環亞胺共底物的非酶促脫羧縮合發生的。盡管這種非酶縮合是可能的,但作者想進一步評估3-氧代戊二酸作為生物合成中間體的相關性。為此,比較了在含有PtPIKS-1的體外反應中將3-氧代戊二酸或丙二酰輔酶A與1-哌啶配對時 4PAA/peletierine生產的反應速率。雖然觀察到1-哌啶和3-氧代戊二酸在低水平下自發縮合,但當丙二酰輔酶A作為與1-哌啶的共底物時,產物形成速率顯著增加(圖4E)。此外,在測量的底物濃度(2至200μM,圖4E),而丙二酰輔酶 A 和 1-哌啶之間的縮合顯然是酶依賴性的(圖4A和B)。因此,雖然1-哌啶和3-氧代戊二酸之間的自發縮合可以在低水平下發生,但這些數據支持一個model,其中PIKS催化的縮合發生在1-哌啶和源自丙二酰輔酶A的聚酮硫酯之間。為了支持這一結論,當丙二酰輔酶A作為PtPIKS-1的底物在體外被納入時,可以檢測到累積的乙酰乙酰輔酶A(圖4F)。乙酰乙酰輔酶A的積累雖然是間接的,但表明會產生一種3-氧代戊二酰輔酶A代謝物,該代謝物會迅速發生脫羧。作者無法直接檢測3-氧代戊二酰輔酶A,并推測這是由于這種中間體的瞬時、不穩定性質所致。有趣的是,乙酰乙酰輔酶A與1-哌啶發生酶非依賴性縮合,產生peletierine。然而,這種縮合不會產生4PAA,因此其在石松生物堿生物合成中的相關性尚不清楚。
通過LC-MS分析無法檢測到與4PAA-CoA硫酯有關的代謝物。因此,作者考慮了將 3-氧代谷二酰基部分重新加載到PtPIKS催化的半胱氨酸上之后發生亞胺-酮縮合的可能性。為了研究是否存在與PtPIKS-1的催化半胱氨酸結合的任何酰基中間體,作者用羥胺處理體外酶促反應,羥胺已被用于捕獲硫酯中間體作為相應的異羥肟酸衍生物。當丙二酰輔酶A和1-哌啶作為底物時,作者注意到與4PAA的異羥肟酸相對應的質量的羥胺([M+H]=m/z201.1234,圖4G)。這一觀察結果,以及無法檢測到 4PAA-CoA代謝物,表明存在瞬時酶結合的4PAA硫酯。
總的來說,這些數據支持了這種亞胺-酮縮合的暫定機制(圖4H):
1) 將丙二酰輔酶A加載到PIKS的催化半胱氨酸上;
2)第二個丙二酰輔酶A與酶結合的丙二酰基的克萊森縮合,從而形成3-氧代戊二酰輔酶A;
3)將3-氧代谷氨酰基部分重新加載到酶上;
4)酶結合的聚酮與1-哌啶的脫羧縮合,產生酶結合的4PAA;
5)硫酯水解生成4PAA,在溫和條件下可自發脫羧生成pelletierine。
雖然需要更多的實驗來揭示該反應的精確事件順序和機理細節,但這些數據證明了PIKS在催化石松生物堿生物合成中的亞胺-酮縮合中的關鍵作用。
5.代謝組學分析——HupB的后期氧化反應
目前研究尚未證實 HupA 生物合成中的任何下游中間體,但從各種苔蘚物種中分離生物堿可能與兩個含8碳哌啶的亞基摻入石松生物堿的生物合成相關(圖 1B)。但是詳細的代謝合成機制還不清楚。作者通過與4PAA/peletierine生物合成的 3 個高度共表達基因分析,作者發現了富集最顯著的一類酶:Fe(II)/2-氧代戊二酸依賴性雙加氧酶(2OGDs)(圖2B,C)。作者將這些高度共表達的2OGD作為下游石松生物堿代謝途徑中的強候選基因。
與 HupA 天然共存的多種石松生物堿,包括石杉堿B(HupB)和石杉堿C (HupC),推測是其生產的邏輯途徑中間體,因此可能是潛在的前體(圖 1B)。盡管這些分子之前都沒有被驗證為HupA前體,但在P. tetrastichus的新生長組織中都可以檢測到HupB和HupC,支持了它們作為植物中潛在代謝中間體的結論。HupB的轉化需要C環哌啶部分的氧化裂解(圖1B)。因此,作者推測2OGD 以及細胞色素P450(CYP)和含黃素的單加氧酶(FMO)參與催化合成HupB。根據與PtLDC、PtCAO和PtPIKS基因的高共表達基因作為上述基因家族的候選基因,然后通過體外表達候選基因驗證酶的活性功能。結果顯示,一種 2OGD酶(Pt2OGD-1) 消耗HupB并產生HupC,而第二個2OGD(Pt2OGD-2) 消耗HupC產生 HupA (圖5)。綜上所述,一對2OGD酶負責通過逐步氧化環裂解和中性雙鍵異構化的氧化還原在石松生物堿生物合成中將HupB轉化為HupA。此外,之前的研究報道HupB 和HupC在生產HupA的植物中一直存在,但它們在HupA生物合成中的途徑尚未研究,因此作者的研究結果證明了它們在該途徑中的中間體作用。

圖5 三種 2OGD 酶催化 HupA 生物合成中的關鍵轉化
6. 代謝組分析——HupA生物合成途徑下游基因的解析
為進一步研究其他下游生物合成途徑。特別是,兩種石松生物堿,des-N-methyl-α-obscurine(DNMAO)和des-N-methyl-β-obscurine(DNMBO),與HupB共享相同的碳骨架,可能是HupB的前體(圖 5)。因此作者通過與上述已知基因的高共表達分析及體外酶活驗證實驗發現另一種獨特的2OGD酶(Pt2OGD-3)能將DNMAO轉化為DNMBO(圖5),從而形成最終在HupA中發現的吡啶酮環。并且發現Pt2OGD-1和Pt2OGD-2可以依次作用于DNMBO,以產生假定的HupC和HupA的8,15-二氫同系物。Pt2OGD-1不作用 DNMAO,表明在DNMBO和HupB中發現的吡啶酮環的存在對Pt2OGD-1底物結合和/或催化活性至關重要,但是參與其中的去飽和酶尚未被發現。
本研究中鑒定的所有三個2OGD均與已發現的PtLDC-1高度相關(圖2C)。這些結果進一步說明了共表達分析可以作為鑒定石松生物堿生物合成調節基因的方法,并且這些鑒定的基因很可能在同一代謝途徑中起作用。總體而言,通過聯合使用代謝組學和轉錄組學分析,作者確定了石松生物堿代謝基因的緊密共表達模塊,從而使我們能夠在HupA的生物合成中發現幾種生物合成酶(圖6)。

圖6 表征的HupA生物合成反應的總結
本研究揭示了新生長組織中的特異性代謝物生物合成活性以及轉錄組數據表明石松生物堿生物合成的發育控制。植物生物堿的組織和細胞特異性,并且在新生長組織中生物活性生物堿的產生可能增強了這些易感的新組織免受食草動物的侵害方面的抗性作用。石松科物種的生長緩慢和難以培養,因此通過解析石松生物堿合成途徑,有助于在體外進行大規模代謝物生產。總的來說,對HupA生物合成的轉錄和生化基礎的深入了解為未來對石松生物堿以及植物產生的許多其他神經活性脂肪族生物堿的研究提供了基礎性的理解。
]]>