關于植物應對鹽堿脅迫的內部調控機制的研究一直以來是生物研究的熱點內容,對脅迫的信號傳遞和應答過程的深入了解將有助于提高作物的逆境適應能力,21年百邁客轉錄調控合作案例300+,影響因子1200+,其中植物的脅迫研究獨占鰲頭,今天給大家分享一篇鎘脅迫研究方向的好文解析。

英文標題:CadmiumbindingduringleafsenescenceinFestucaarundinacea:Promotionphytoextractionefficiencybyharvestingdeadleaves
發表期刊:CHEMOSPHERE
影響因子:7.086
全文鏈接:https://international.biocloud.net/zh/article/detail/34902388
研究背景
枯葉提取法是一種新型的高羊茅鎘植物修復策略,為鎘污染土壤的植物修復和清潔食品生產提供了可行性??萑~中Cd含量最高是葉片衰老過程中Cd積累的結果。然而,葉片衰老過程中Cd積累的機理尚不清楚,這限制了該技術的提取效率。本研究通過RNA-seq組學研究技術對高羊茅葉片Cd積累的內部機制。
研究方法
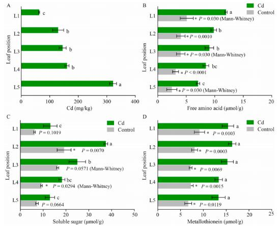
根據葉片在美洲虎羊茅莖中的位置進行取樣和分離。L1為頂部初生葉,L2和L3為上部2、3個成熟葉片,L4是衰老開始時的葉片;L5是衰老的黃色葉片。
分別用75μMCd和不加75μMCd處理高羊茅幼葉(L1)和衰老葉(L4)7d(L1-con、L4-con、L1-Cd、L4-Cd),并進行3次生物重復,提取總RNA并進行轉錄組測序。(測序工作由北京百邁客公司提供技術支持)。
研究結果
一、不同葉片中的鎘、游離氨基酸、可溶性糖和金屬硫蛋白測定
不同葉片Cd積累量顯著不同。葉片Cd濃度隨葉片數量的增加從上到下顯著增加,L2、L3、L4和L5的Cd濃度比幼葉(L1)增加了2.1、2.3、2.5和5.1倍。幼葉(L1)積累Cd最少,而衰老葉(L5)積累Cd最多。Cd處理顯著提高了各葉片游離氨基酸含量,但沒有改變其隨葉片衰老逐漸下降的趨勢,幼葉中游離氨基酸含量(L1)最高,然后隨著葉片衰老逐漸降低(圖1B)。衰老葉(L5)中游離氨基酸含量最低。成熟葉片中可溶性糖含量(L2)最高,Cd處理顯著提高了L2和L4的可溶性糖含量,然后隨著葉片衰老逐漸降低。衰老葉(L5)和幼葉(L1)的可溶性糖含量顯著低于綠色成熟葉。鎘脅迫下,與對照組相比,Cd處理顯著提高了所有葉片中的金屬硫蛋白含量,不同葉片金屬硫蛋白含量無顯著變化。

Cd脅迫對高羊茅不同葉片Cd(A)、游離氨基酸(B)、可溶性糖(C)和金屬硫蛋白(D)含量的影響
二、鎘處理對不同葉片間螯合物的影響
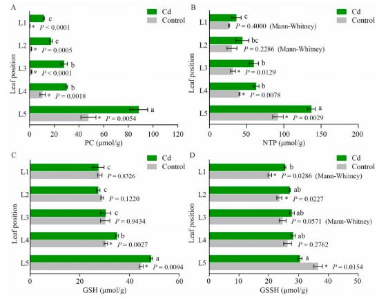
PC、GSH和NPT參與了超積累劑的Cd解毒機。Cd脅迫和對照組的植物螯合素(PCs)均隨葉片老化顯著增加。Cd處理顯著提高了各葉片PC含量,非蛋白硫醇(NPTs)含量也隨著葉片衰老而顯著增加,但隨葉片衰老的增加趨勢沒有變化。Cd處理顯著增加了衰老葉片(L4和L5)的谷胱甘肽(GSH)含量,但沒有提高幼苗和成熟苗的GSH含量。由此可以推斷,GSH、PC和NPT的增加及其與Cd的結合可能促進了衰老葉片中Cd的積累。Cd處理顯著增加了幼葉和成熟葉的氧化谷胱甘肽(GSSH)含量(L1和L2),但降低了衰老葉(L5)的GSSH含量。由于氧化后的谷胱甘肽(GSSH)可被還原為還原型谷胱甘肽(GSH),還原性谷胱甘肽(GSH)可以通過GST進一步催化GSH-Cd結合,GSSH向GSH的轉化與Cd在衰老葉片中的積累是一致的。

Cd脅迫對高羊茅不同葉片螯合素(PCs)、非蛋白硫醇(NPTs)、還原型谷胱甘肽(GSH)、氧化型谷胱甘肽(GSSH)含量的影響
三、差異基因的鑒定和GO分析
為了更好地了解Cd在葉片衰老過程中的積累機制,利用RNA-seq研究了Cd處理前后幼葉(L1)和衰老葉(L4)的轉錄組譜。對L1-ConvsL4-Con、L1-CdvsL4-Cd、L1-convsL1-Cd和L4-convsL4-Cd的比較組根據轉錄水平至少有兩倍差異進行篩選,分別發現的差異基因數目為2286、4270、1808、1929。在這些差異基因中,與Cd脅迫相比,L1和L4中有157個基因表達上調,255個基因表達下調。四個比較組的共有24個上調基因和20個下調基因。采用qRT-PCR方法,從RNA-seq數據的差異基因中隨機選取12個基因的表達水平進行分析。這12個基因在qRT-PCR分析結果和RNA-seq數據中均顯示出相同的表達模式。
為了了解差異基因的功能,作者進行了GO富集分析。四組的差異基因在節律過程、信號傳導和代謝過程等生物過程中都有20個豐富的分類。值得注意的是,與對照組相比,脫毒組的差異基因在幼葉和衰老葉中都有富集(L1-ConvsL1-Cd和L4-ConvsL4-Cd),但在幼葉和衰老葉的對照組和處理組中沒有明顯富集(L1-CdvsL4-Cd和L1-ConvsL4-Con)。

鎘脅迫下幼葉和衰老葉片基因表達譜的變化
四、KEGG通路分析
為了進一步了解Cd處理下高羊茅葉片中Cd積累的機制,利用KEGG對葉片中的差異基因進行富集分析。在幼葉中,主要富集的途徑是晝夜節律-植物、苯丙氨酸代謝、植物激素信號轉導、苯丙素生物合成、淀粉和蔗糖代謝,而在衰老葉片中,差異基因主要富集于類胡蘿卜素的生物合成、晝夜節律與植物的關系、谷胱甘肽的代謝、植物與病原菌的相互作用以及苯丙素的生物合成等代謝途徑。苯丙素類生物合成和晝夜節律型植物的基因在幼葉和衰老葉中都表現豐富。值得注意的是,屬于谷胱甘肽代謝途徑的基因僅在衰老葉片中表現出富集。

差異基因的KEGG途徑富集分析
五、衰老葉片中谷胱甘肽代謝途徑與Cd結合
通過比較分析幼葉和衰老葉片對Cd脅迫的響應,有助于探索衰老葉片中Cd積累的關鍵調控基因,作者進一步比較了對照組組和Cd處理組在“谷胱甘肽代謝”途徑中的差異基因表達。谷胱甘肽-S-轉移酶(GSTs)是催化GSH-Cd偶聯的酶,植物GSTs可以進行GSH依賴的反應來進行Cd解毒。在該轉錄組中,共鑒定出了26個基因編碼GST。其中,19個上調基因在Cd脅迫下的差異倍數高于對照組。結果表明,GST基因的上調和S-谷胱甘肽的結合可能參與了衰老葉片中Cd的積累。
MT(金屬硫蛋白)是一組金屬結合蛋白,在金屬分配和穩態中起著關鍵作用。1個上調基因(c129583.Graph_c0)和一個下調基因(c120767.graph_c0)編碼MT。Cd脅迫使上調基因的差異倍數比對照增加了23.8%,并完全抑制了表達下調的基因。結合Cd脅迫下MT含量的增加,作者的研究結果表明,MT-Cd結合可能在幼葉(L1)和衰老葉片(L4)的Cd解毒過程中發揮作用。半胱氨酸蛋白酶(CPs)是葉片衰老過程中負責蛋白水解活性的最豐富的酶。在該轉錄組中鑒定出17個編碼CP的基因。在對照組中,只有4個基因的表達有顯著差異。Cd脅迫顯著促進CP表達,有10個上調基因在Cd處理組的差異倍數高于處理組,Cd處理組的6個基因下調倍數低于對照組。然而,PC的蛋白水解活性是否與衰老葉片中Cd的積累有關尚不清楚。

與谷胱甘肽代謝和Cd結合相關的基因在幼葉(L1)和衰老葉(L4)與Cd脅迫或不脅迫下的轉錄變化
總結
從枯葉中提取Cd的策略取決于葉片衰老過程中Cd的積累機制。研究葉片衰老過程中Cd在枯葉中優先積累的機理至關重要。本研究通過轉錄組和化學分析表明,葉片衰老過程中Cd的積累與PC、GSH和NPT結合Cd有關。Cd結合PC、GSH、NPT的增加可能來自于蛋白質降解的途徑。作者的研究結果為揭示葉片衰老過程中Cd積累的調控機制提供了依據。在高羊茅蛋白質降解過程中,通過促進PC、GSH、NPT與Cd的結合,可進一步提高高羊茅枯葉提取效率。


京公網安備 11011302003368號